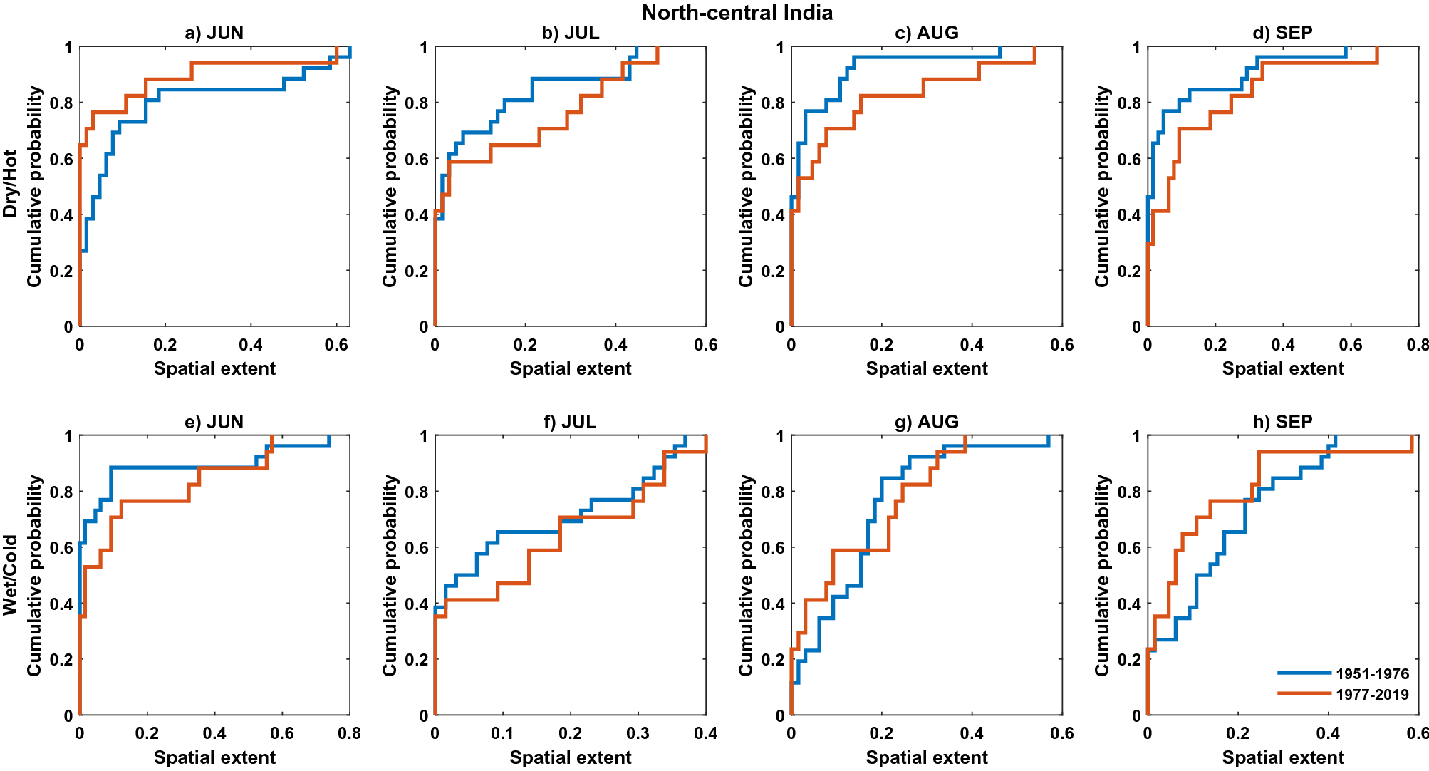
Figure 7
From: Disentangling increasing compound extremes at regional scale during Indian summer monsoon

Empirical CDF of CDHE (a–d) and CWCE (e, f) spatial extent during June, July, August and September for the recent period (1977–2019) versus base period (1951–1976) for North-central India. This figure is generated in MATLAB R 2020b (Version 9.9 https://in.mathworks.com).