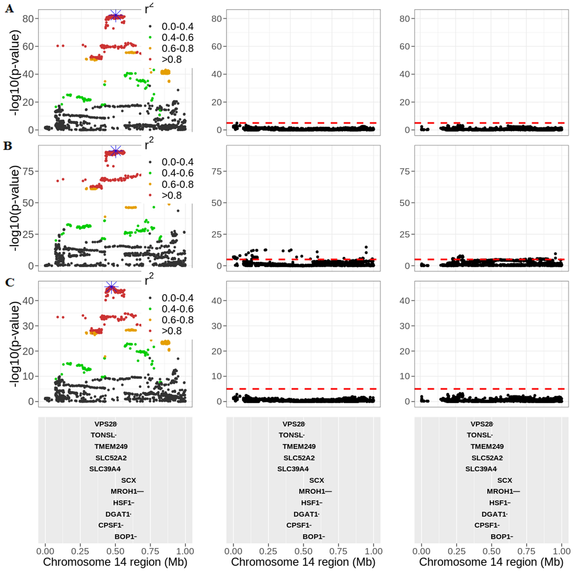
Figure 2
From: New loci and neuronal pathways for resilience to heat stress in cattle

QTL discovery on chromosome 14 at 0 to 1 Mb for heat tolerance milk (HTMYslope; A), fat (HTFYslope; B), and protein (HTPYslope; C) yield slope traits. The three panels represent the GWAS p values before conditional analysis (right panel), after conditioning slope traits on the lead SNP (highlighted in blue) defined as the most significant SNP (middle panel), and after conditioning slope traits on the intercept traits (left panel), respectively. The red horizontal dashed line is the GWAS cut-off of p < 1E–05. The strength of LD (r2) between the lead SNP (blue color) and all the other SNPs are color-coded accordingly.