Figure 1
From: Hypersensitivity in teeth affected by molar-incisor hypomineralization (MIH)

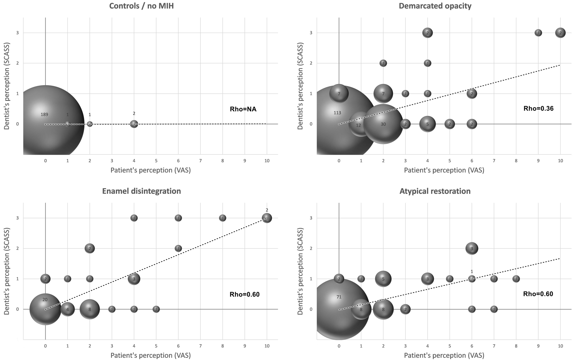
Spearman’s rank correlation between the perceptions of the dentist (SCASS) and the patient (VAS).
From: Hypersensitivity in teeth affected by molar-incisor hypomineralization (MIH)

Spearman’s rank correlation between the perceptions of the dentist (SCASS) and the patient (VAS).