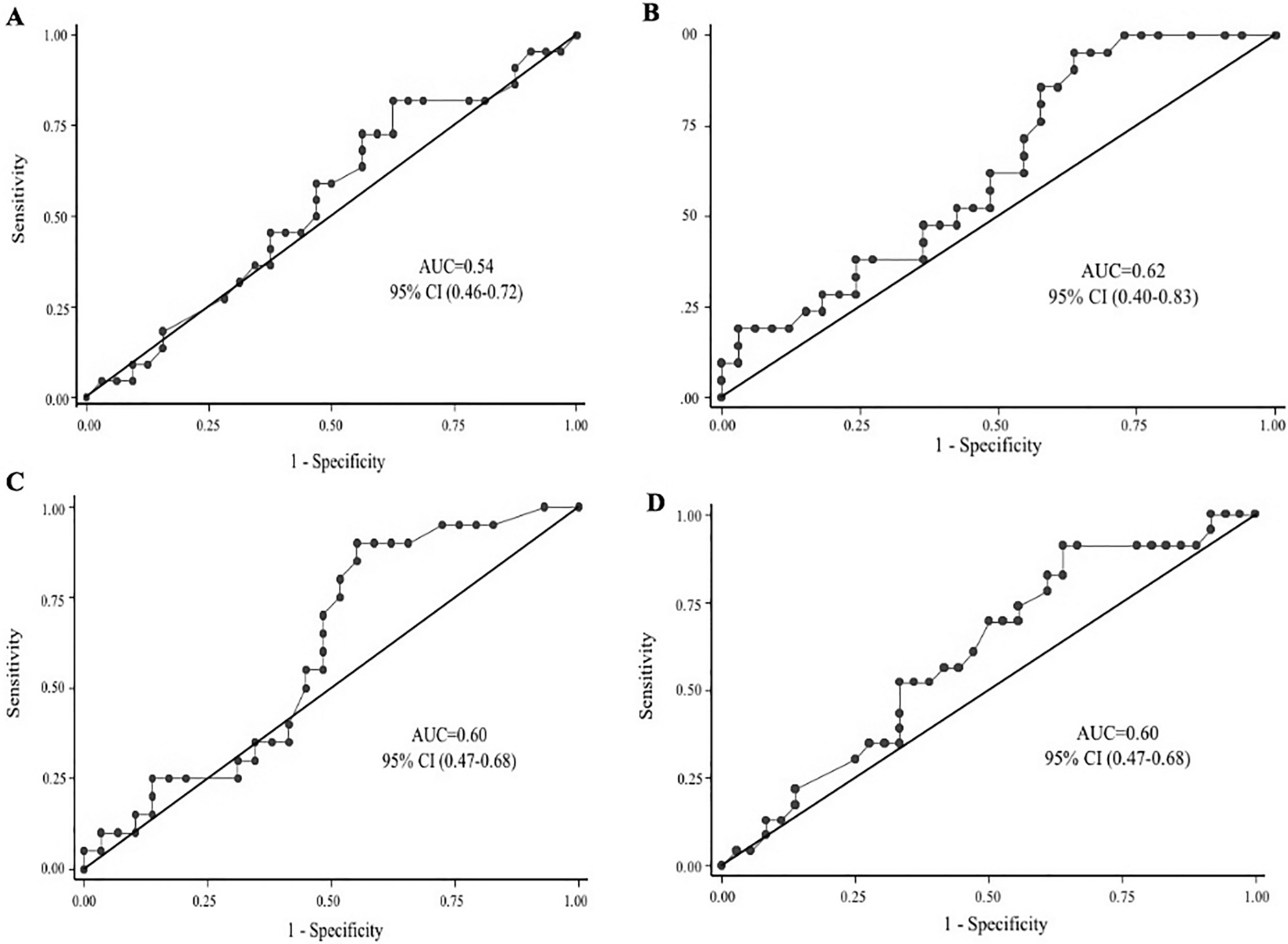
Figure 3

Subgroup analysis of area under the receiver operator characteristics curve with 95% confidence interval for the cardiovascular magnetic resonance model to detect increased pulmonary vascular resistance (≥ 3 WU). (A) Left ventricular ejection fraction less than 30%. (B) Left ventricular ejection fraction more or equal to 30%. (C) Depressed right ventricular ejection fraction. (D) Preserved right ventricular ejection fraction. AUC area under the receiver operator characteristics curve, CI confidence interval, CMR cardiovascular magnetic resonance, PVR pulmonary vascular resistance, RHC right heart catheterization.