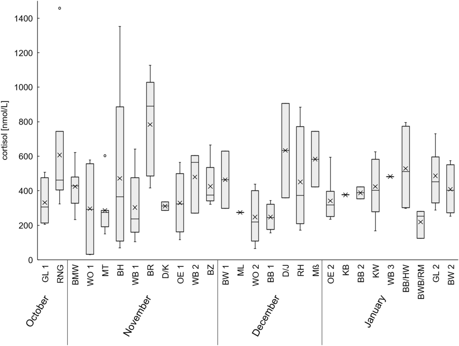
Figure 2

Cortisol levels of wild boar compared among evaluated hunting grounds. The sampling locations are sorted chronologically from October until January. The abbreviations serve as an orientation for the different hunting grounds, which will not be named further because of the protection of privacy.