Figure 2

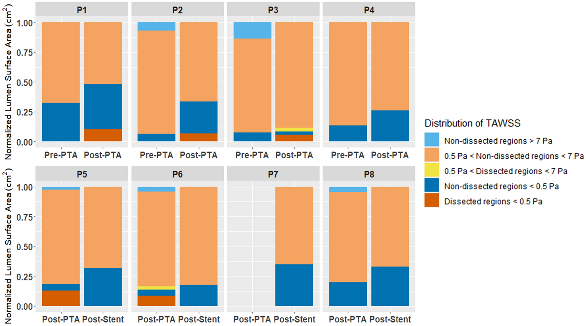
The normalized distribution of adverse hemodynamics (TAWSS < 0.5 Pa; TAWSS > 7 Pa) and normal flow behavior at the lumen surface for different segments of the artery. (Generated by R 3.5.0, https://www.r-project.org).

The normalized distribution of adverse hemodynamics (TAWSS < 0.5 Pa; TAWSS > 7 Pa) and normal flow behavior at the lumen surface for different segments of the artery. (Generated by R 3.5.0, https://www.r-project.org).