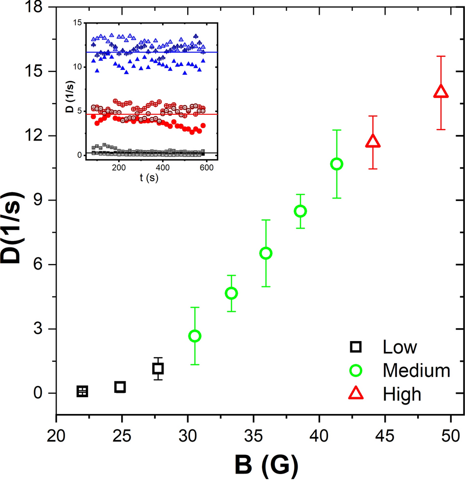
Figure 4
From: Crystallisation in a two-dimensional granular system at constant temperature

The average values of the effective diffusion coefficient as a function of the magnetic field. The symbols in black represent the low-temperature regime. Green symbols are for the medium temperatures. Finally, red symbols are for high-temperatures. The inset illustrates the similarity between the temporal evolution of the effective diffusion coefficient at 24.87, 33.32, and 44.09 G. The horizontal lines indicate the average value.