Figure 2
From: Plasma fibrinogen, d-dimer, and fibrin degradation product as biomarkers of rheumatoid arthritis

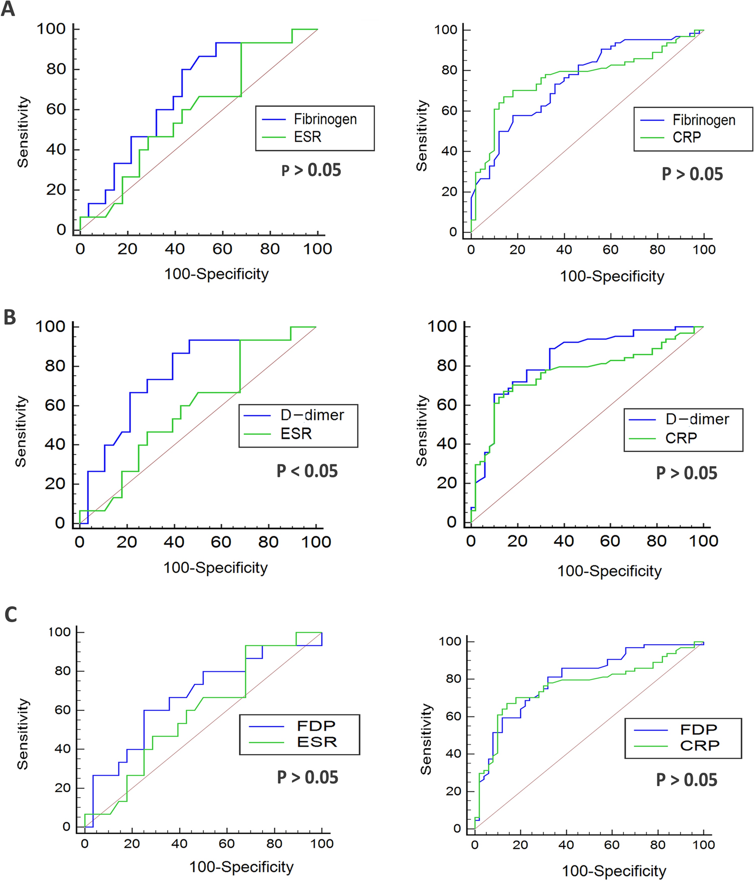
Performance of plasma fibrinogen, d-dimer, and FDP in discriminating active RA from low activity RA. Comparison of ROC curves between fibrinogen (A), d-dimer (B) or FDP (C) and other parameters including ESR and CRP in differentiating active RA from low activity RA. ROC receiver operating characteristic curve, FDP fibrin degradation product, ESR erythrocyte sedimentation rate, CRP C-reactive protein.