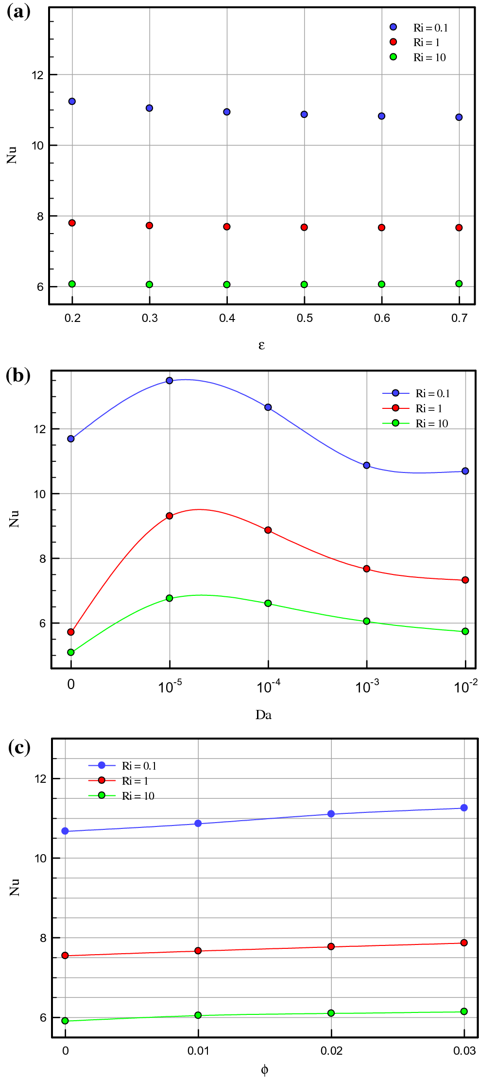
Figure 5

(a) Average Nusselt number for Da = 10–3, ϕ = 0.01, τ = 0.1. (b) Average Nusselt number for ɛ = 0.7, ϕ = 0.01, τ = 0.1. (c) Average Nusselt number for Da = 10–3, ɛ = 0.5, τ = 0.1.

(a) Average Nusselt number for Da = 10–3, ϕ = 0.01, τ = 0.1. (b) Average Nusselt number for ɛ = 0.7, ϕ = 0.01, τ = 0.1. (c) Average Nusselt number for Da = 10–3, ɛ = 0.5, τ = 0.1.