Figure 11
From: Applicant hierarchical fuzzy controller for concentration control of simulated moving bed

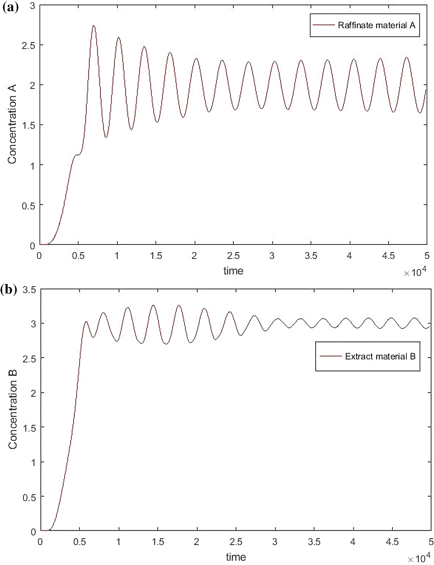
Hierarchical Fuzzy Rule Control for concentration, desired B = 3, desired A = 2.
From: Applicant hierarchical fuzzy controller for concentration control of simulated moving bed

Hierarchical Fuzzy Rule Control for concentration, desired B = 3, desired A = 2.