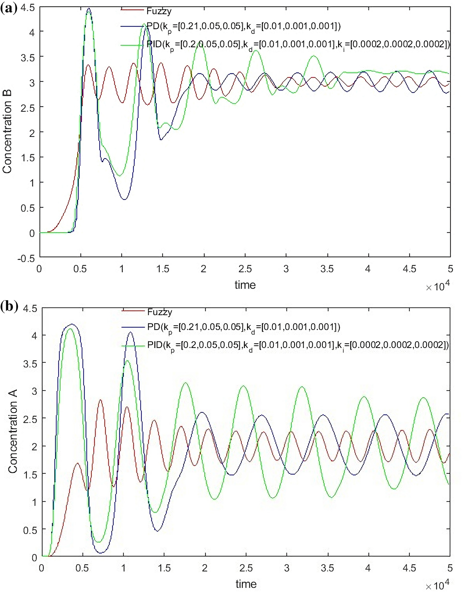
Figure 16
From: Applicant hierarchical fuzzy controller for concentration control of simulated moving bed

Desired B = 3, desired A = 2, Switch time = 180 s.
From: Applicant hierarchical fuzzy controller for concentration control of simulated moving bed

Desired B = 3, desired A = 2, Switch time = 180 s.