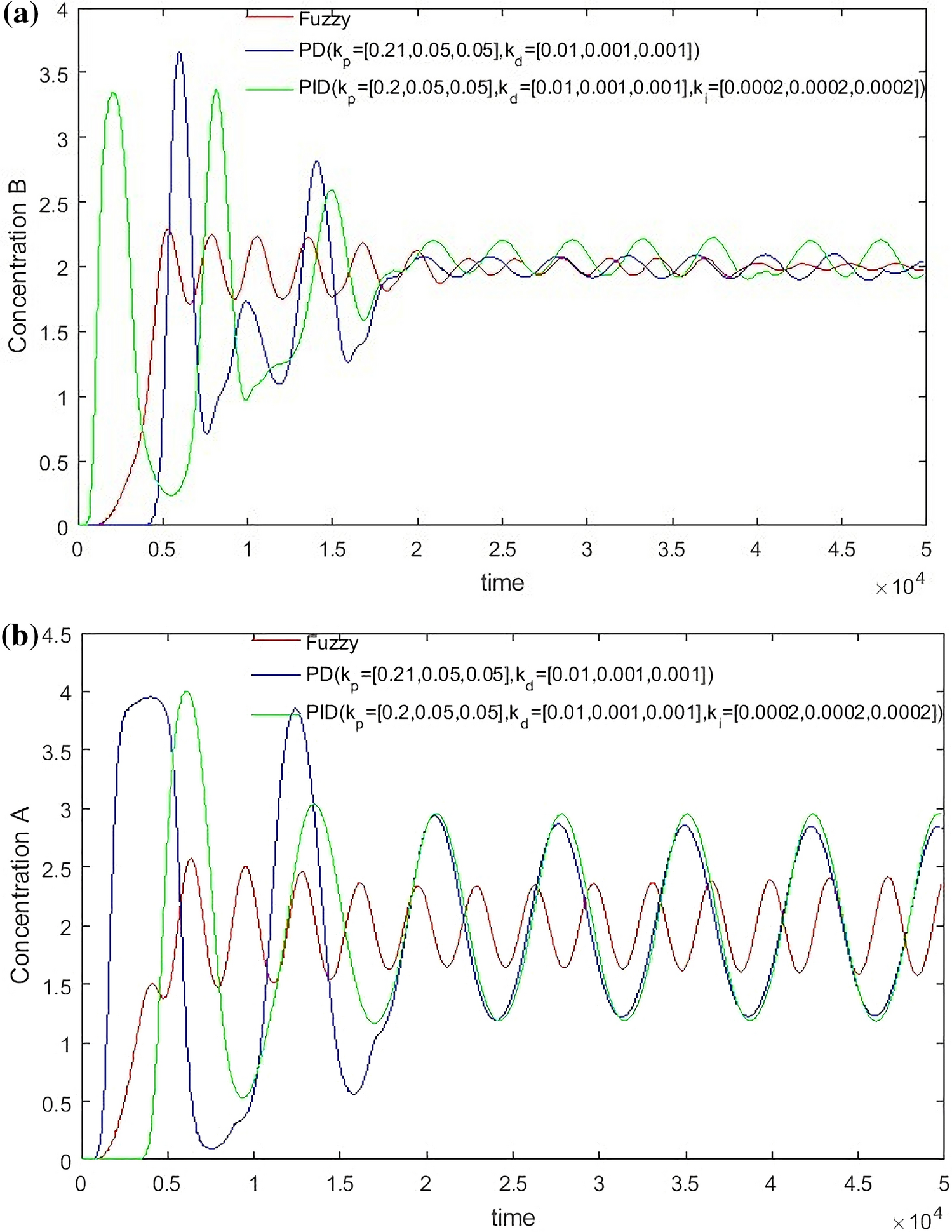
Figure 17
From: Applicant hierarchical fuzzy controller for concentration control of simulated moving bed

Desired B = 2, desired A = 2, Switch time = 180 s.
From: Applicant hierarchical fuzzy controller for concentration control of simulated moving bed

Desired B = 2, desired A = 2, Switch time = 180 s.