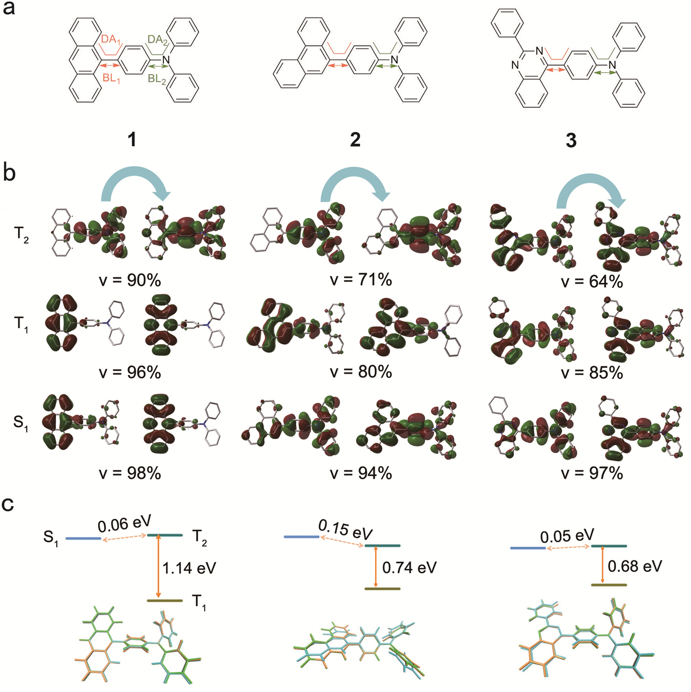
Figure 2

(a) Molecular structures of 1, 2, and 3. (b) Natural transition orbitals of S1, T1, and T2 excited-state with M06-2X/Def2SVP based on ground-state structures. (c) Relative S1, T1, and T2 energy levels with M06-2X/Def2SVP and a structural comparison among S1, T1, and T2 structures. S1 (orange); T1 (green); T2 (cyan). (b) Drawn by GaussView 6.0 and Multiwfn programs; (c) is drawn by VMD 1.9.1. program.