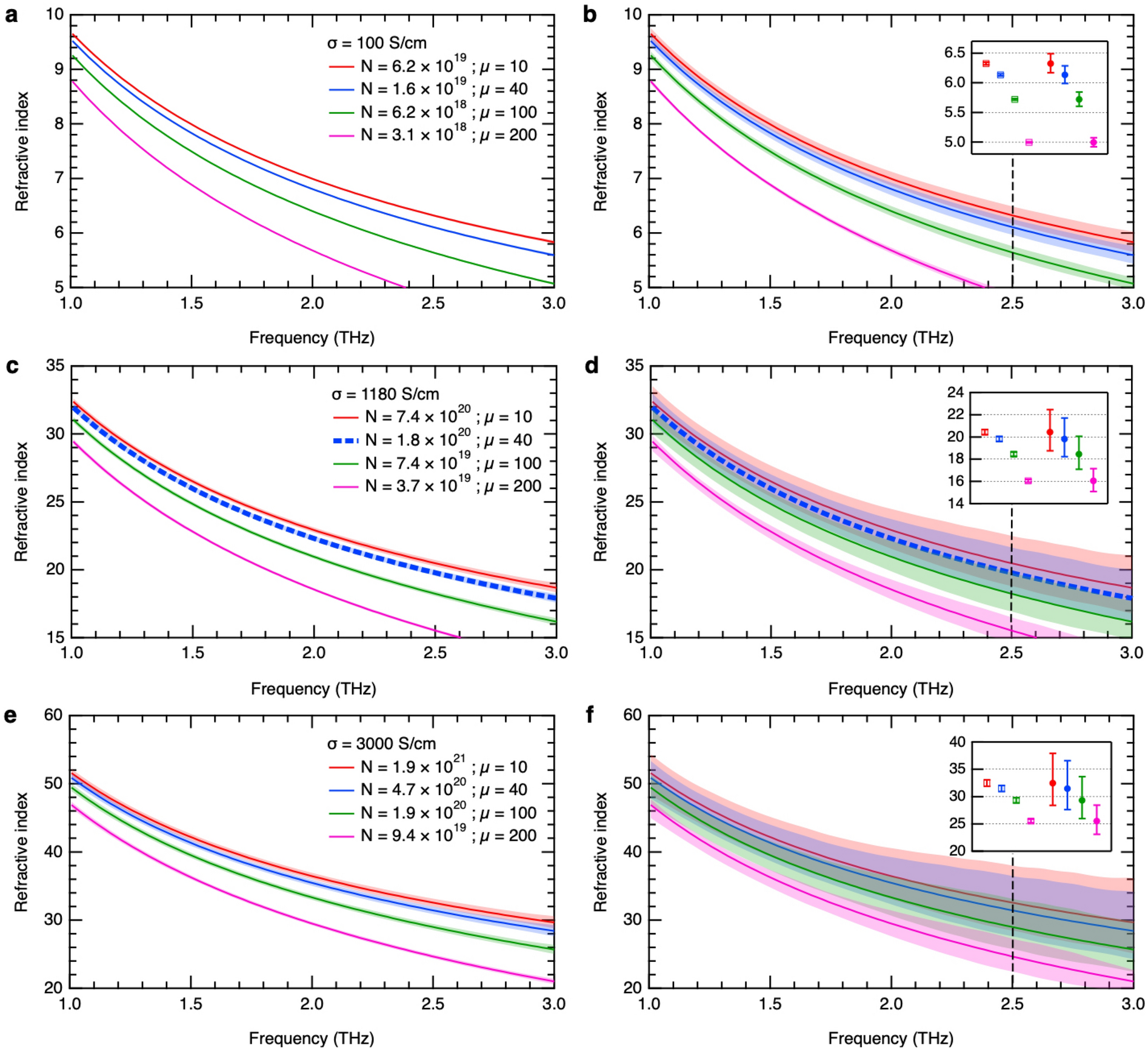
Figure 6

Calculated refractive index spectra for different conductivities: 100, 1180, and 3000 S/cm with varying carrier density and mobility. The dashed blue line corresponds to material parameters close to the PS-GaN sample. The shaded regions represent the uncertainties of THz time-domain ellipsometry with multiple-angle measurements (a,c,e) and without, i.e., measurements at 0° and 90° polarizer angles only (b,d,f). For easier comparison, the respective values at 2.5 THz are shown by the insets (hollow squares—with multiple-angle measurements; solid circles—0° and 90° measurements only).