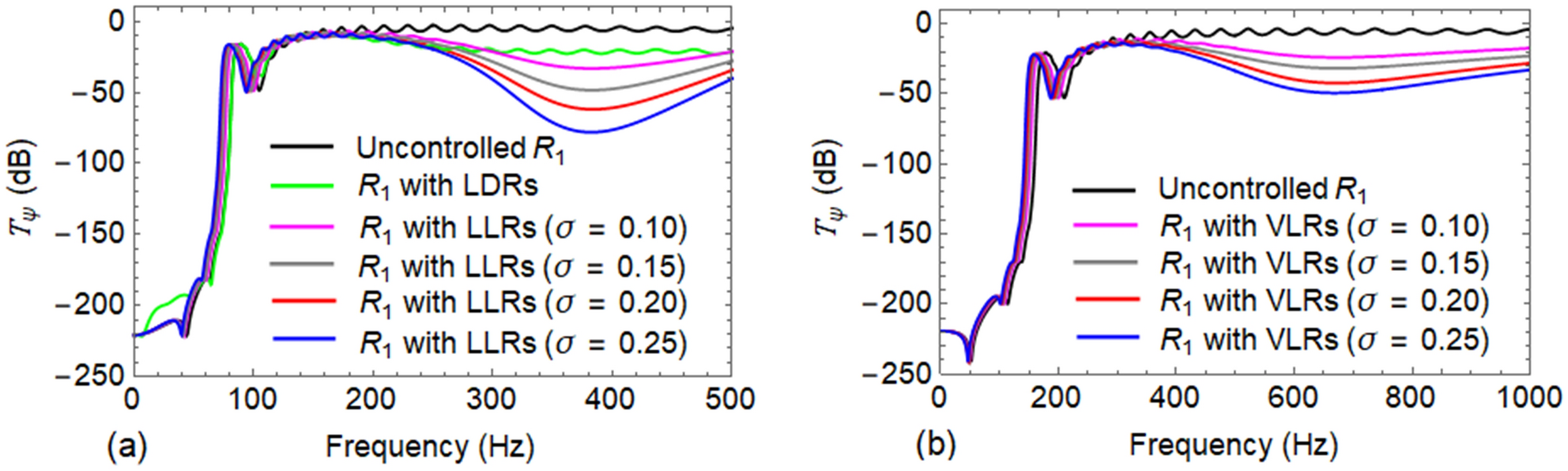
Figure 9
From: Flexural band gaps and vibration control of a periodic railway track

Comparison between transmittance \({T}_{\psi }\left(\mathrm{dB}\right)\) of: (a) uncontrolled \({R}_{1}\) against \({R}_{1}\) with LDRs and LLRs in lateral direction; and (b) uncontrolled \({R}_{1}\) against \({R}_{1}\) with VLRs in vertical direction.