Figure 1

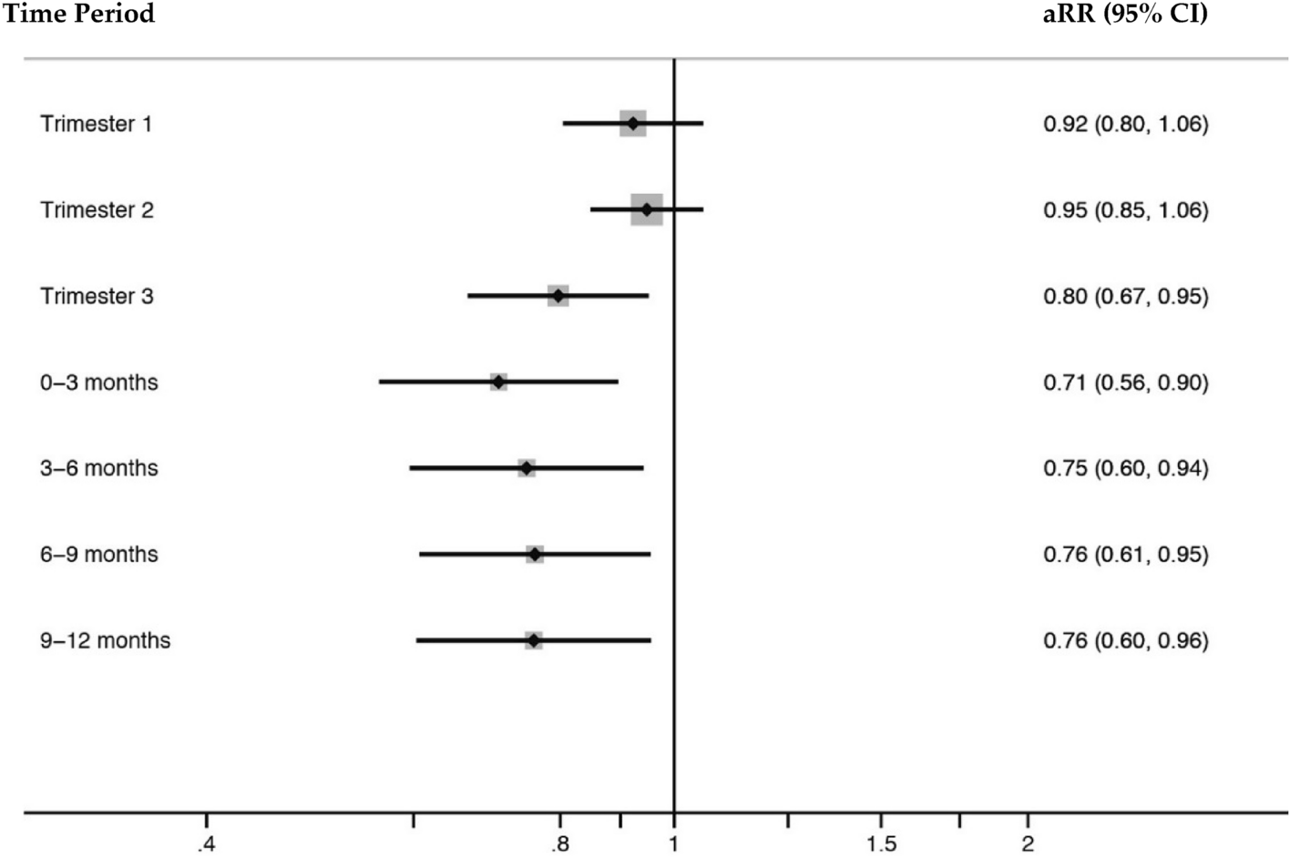
Forest plot of adjusted* relative risk (RR) for type 1 diabetes among boys born in Western Australia per 100 kJ m−2 increase in total ambient erythemal UVR dose.

Forest plot of adjusted* relative risk (RR) for type 1 diabetes among boys born in Western Australia per 100 kJ m−2 increase in total ambient erythemal UVR dose.