Figure 2
From: Structure-based design and classifications of small molecules regulating the circadian rhythm period

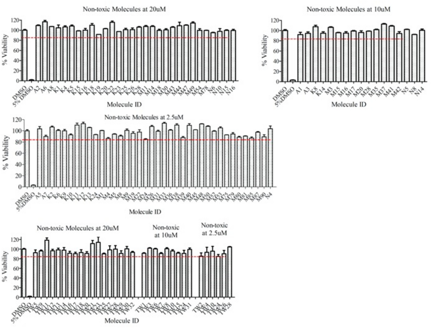
Non-toxic dosages of molecules determined by MTT toxicity assay. The cell viability was measured in cells treated with different concentrations of molecules. A dose of a molecule that allowed > 90% of cell survival evaluated as non-toxic dose. (Data represent the mean ± SEM n = 3). Cells were seeded 96-well plate and grown for 48 h. Then, cells were treated with molecules with indicated concentrations or solvent (DMSO) as control (final volume of DMSO is 0.5%). After 48 h of treatment, medium was replaced with DMEM: MTT reagent mix and incubated for 4 h. Finally, formazan salts dissolved in ethanol: DMSO mix and absorbance values of each well were measured at 570 nm using Synergy H1 (BioTek). The viability of DMSO-treated cells was normalized to 100% and the relative viability of cells treated with molecules was reported. A group of cells treated with 5% DMSO, known as toxic to cells, used as a positive control.