Figure 4
From: Prediction of coating thickness for polyelectrolyte multilayers via machine learning

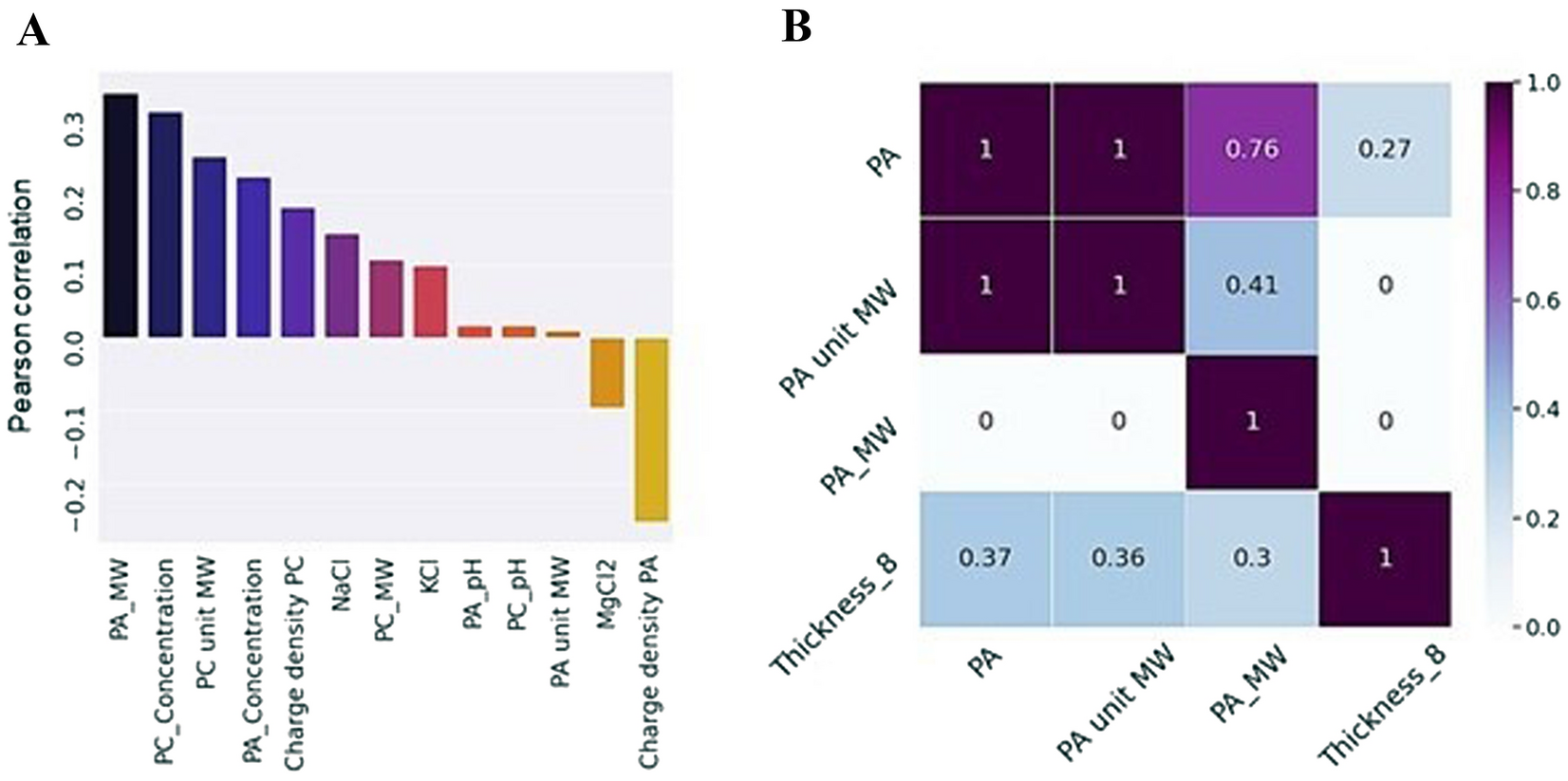
Pearson correlation (A) and Predictive Power Scores (PPS) (B) calculated for the thickness of the 8-bilayered coating and coating features. The first three and the last Pearson correlations are statistically significant (p ≤ 0.05). Only features having PPS > 0.001 with the target value are included. Full names of polymer features are provided in SI Table S3.