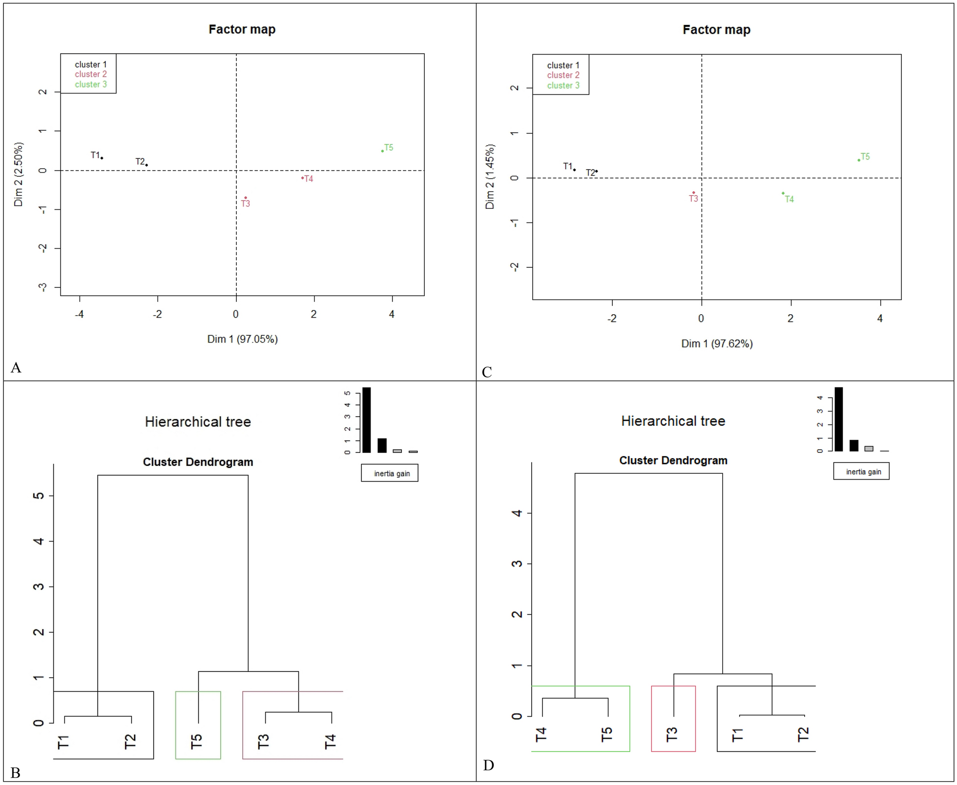
Figure 10

(A): Individual factor map of different treatments (T1–T5) using principal component analysis (PCA) for growth/productivity related parameters, (B) Dendrogram obtained by hierarchical cluster analysis (HCA) using PC1 of PCA for growth/productivity related parameters (C) Individual factor map of different treatments (T1–T5) using principal component analysis (PCA) for microbial population and enzymatic activities related parameters, (D) Dendrogram obtained by hierarchical cluster analysis (HCA) using PC1 of PCA of microbial population and enzymatic activities related parameters.