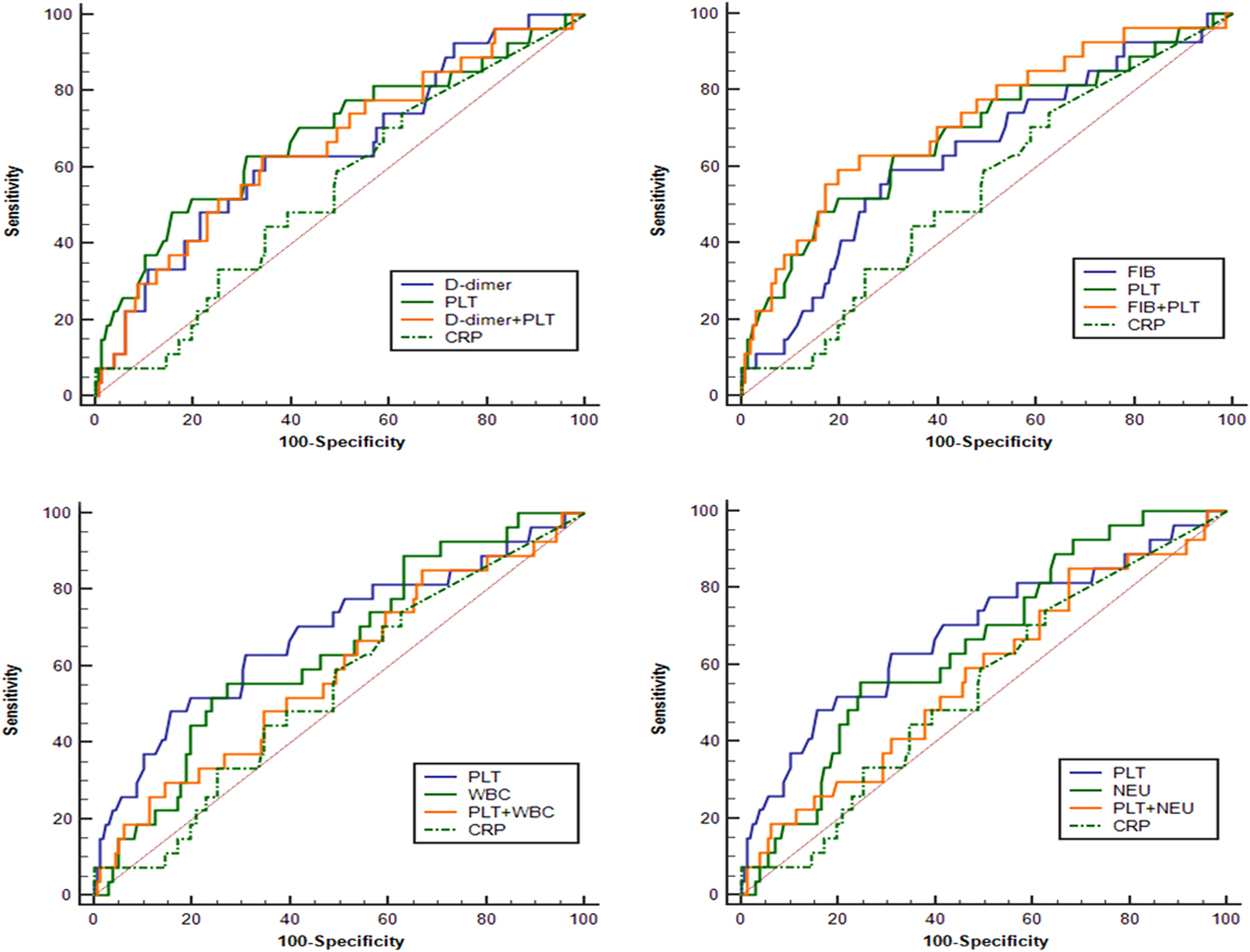
Figure 1

ROC curve of a single index of D-dimer, FIB, PLT, CRP, WBC, or NEU, and the combination of the single index and PLT for predicting in-hospital deaths in patients with type A AAD. ROC, receiver operating characteristic; FIB, fibrinogen; PLT, platelet; CRP, C-reactive protein; WBC, white blood cells; NEU, neutrophil; AAD, acute aortic dissection.