Figure 10
From: On hybrid nanofluid Yamada-Ota and Xue flow models in a rotating channel with modified Fourier law

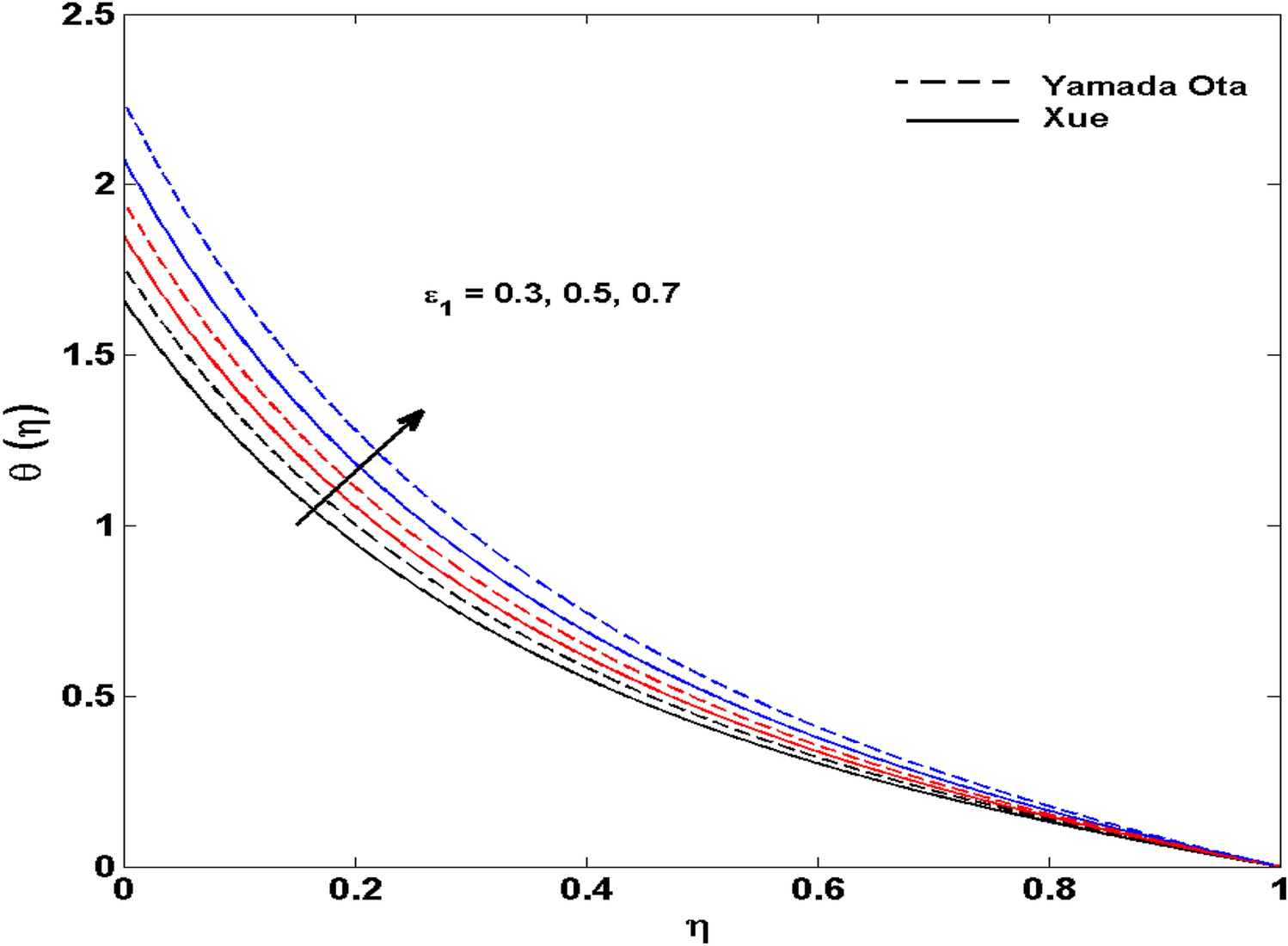
Behaviour of \(\theta (\eta )\) vs \(\varepsilon_{1}\). Image generated by using MATLAB 2015a https://www.mathworks.com/help/simulink/release-notes-R2015a.html.