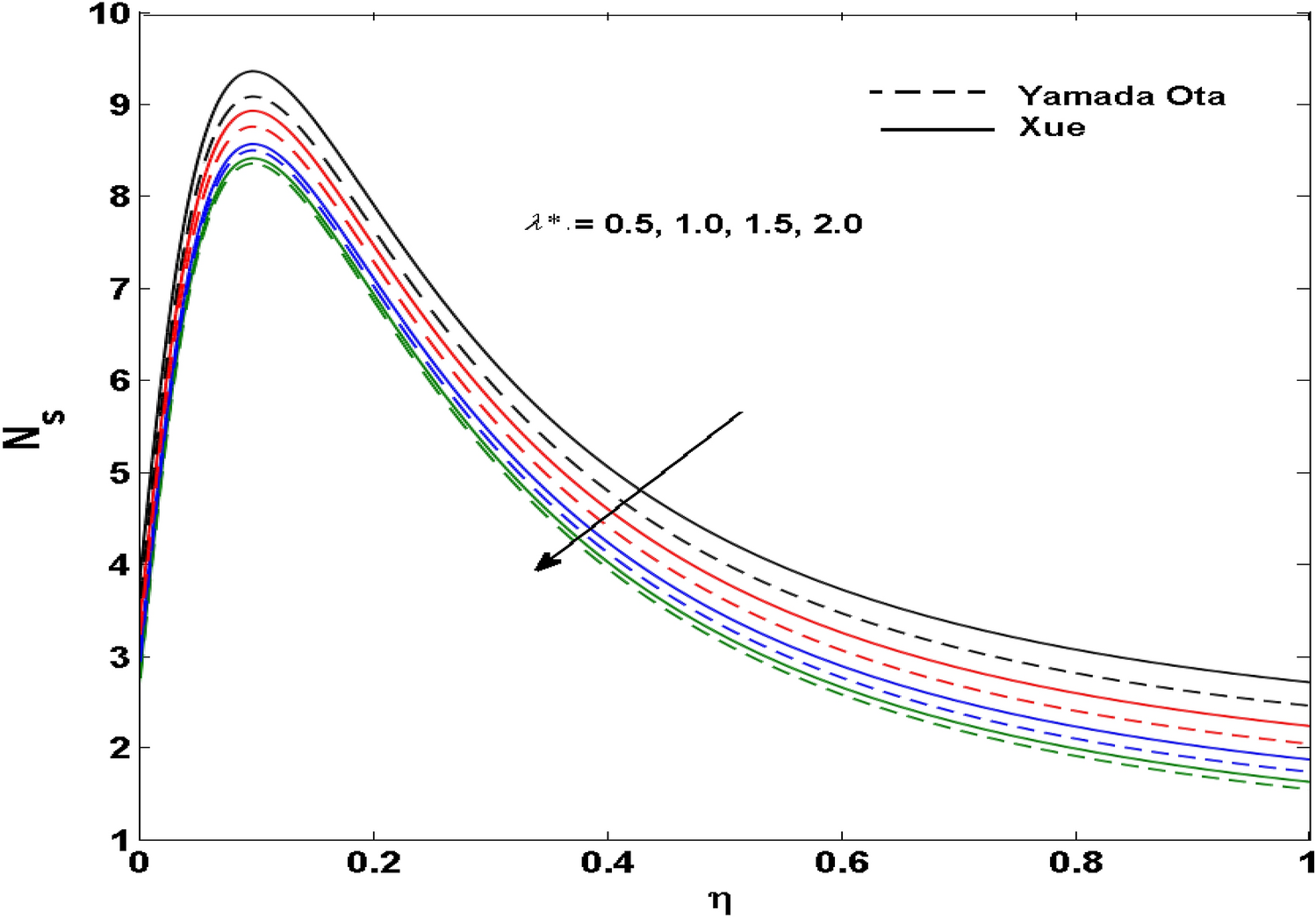
Figure 17
From: On hybrid nanofluid Yamada-Ota and Xue flow models in a rotating channel with modified Fourier law

Variation of \(Ns\) vs \(\lambda *\). Image generated by using MATLAB 2015a https://www.mathworks.com/help/simulink/release-notes-R2015a.html.