Thank you for visiting nature.com. You are using a browser version with limited support for CSS. To obtain
the best experience, we recommend you use a more up to date browser (or turn off compatibility mode in
Internet Explorer). In the meantime, to ensure continued support, we are displaying the site without styles
and JavaScript.
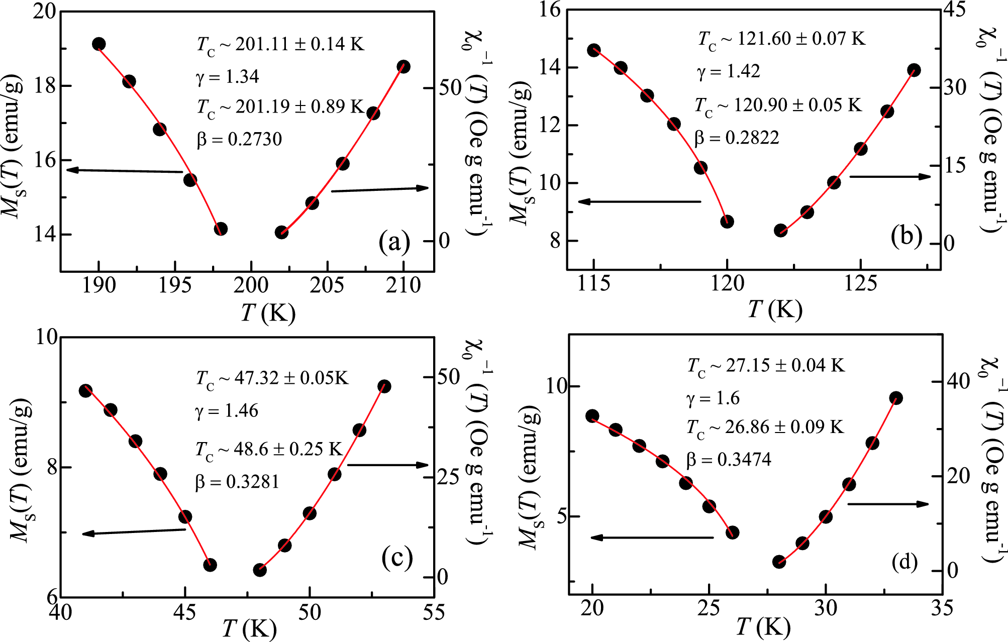
Temperature response of MS (T) and χ0–1 (T) of (a) Fe2CrAl, (b) Fe1.75Mn0.25CrAl, (c) Fe1.5Mn0.5CrAl, and (d) Fe1.25Mn0.75CrAl. The critical exponents and TC are obtained from fitting of Eqs. (1) and (2).