Figure 3
From: Unconventional critical behaviour in weak ferromagnets Fe2-xMnxCrAl (0 ≤ x < 1)

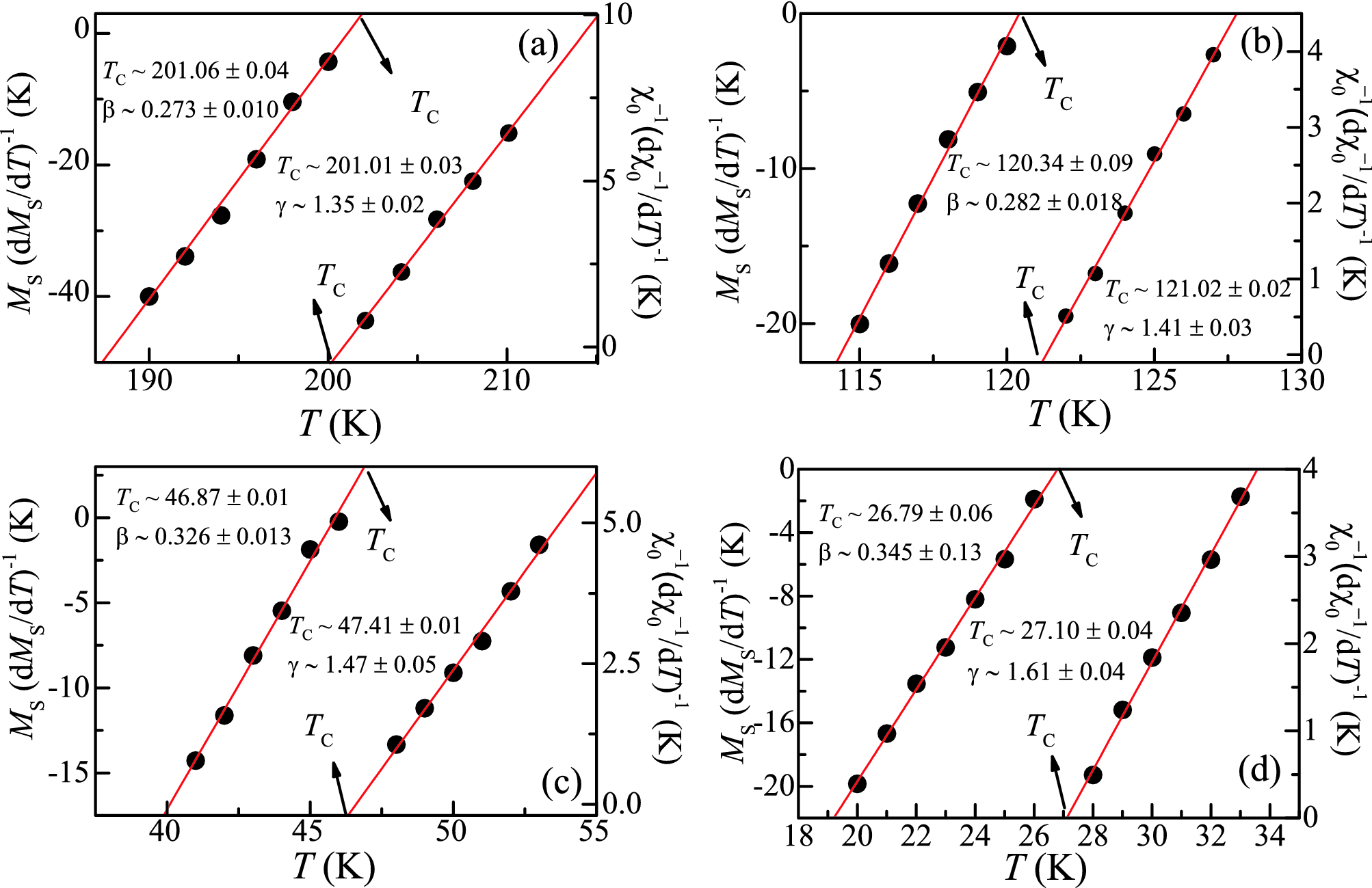
Temperature dependent MS (dMS / dT)−1 (left axis) and χ0–1(dχ0–1/ dT)-1 (right axis) of (a) Fe2CrAl, (b) Fe1.75Mn0.25CrAl, (c) Fe1.5Mn0.5CrAl, and (d) Fe1.25Mn0.75CrAl. Solid red lines denote the linear fitting.