Figure 1
From: Naphthyridine derived colorimetric and fluorescent turn off sensors for Ni2+ in aqueous media

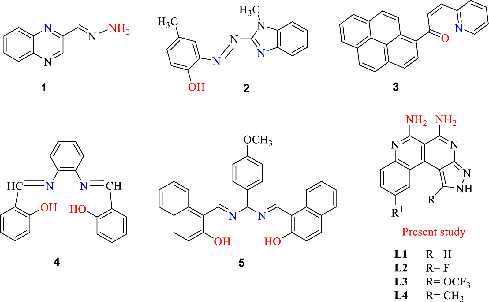
Some structural motifs employed in Nickel sensors, and L1-L4 from the present study.
From: Naphthyridine derived colorimetric and fluorescent turn off sensors for Ni2+ in aqueous media

Some structural motifs employed in Nickel sensors, and L1-L4 from the present study.