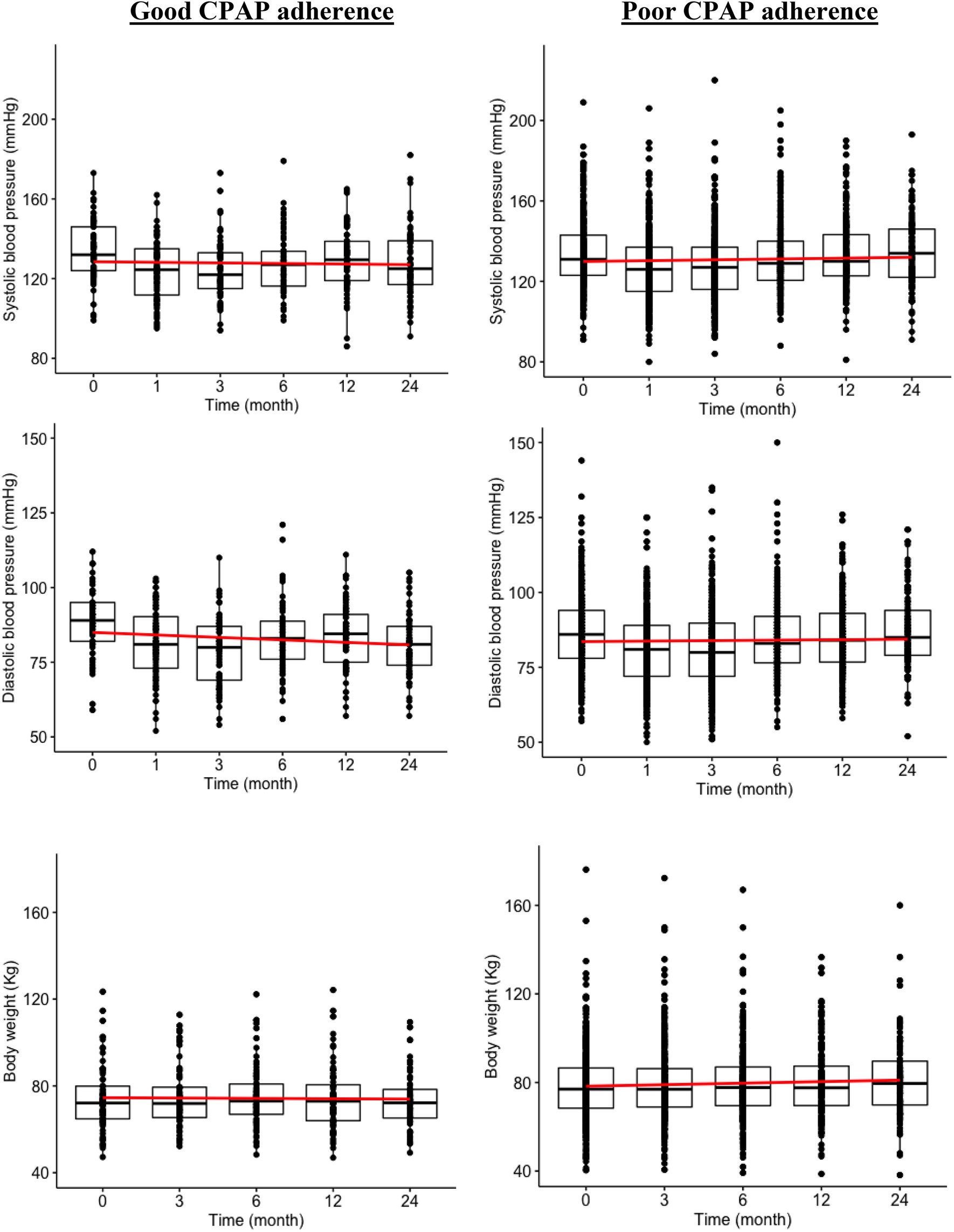
Figure 3

Association between longitudinal changes in blood pressure and body weight and adherence of continuous positive airway pressure. The red lines are temporal trends of mean blood pressure derived using linear regression functions. Good CPAP adherence, using CPAP for more than 4 h ≥ 70% of the time of the 30 days prior to all follow-up points.; Poor CPAP adherence, using CPAP for more than 4 h ≤ 70% of the time of the 30 days prior to all follow-up points. Time, month of CPAP treatment. Model was adjusting for age, sex, alcohol consumption, smoking, medication history of hypertension, medication history of diabetes, medication history of dyslipidemia, body weight, and Epworth Sleepiness Scale.