Figure 13

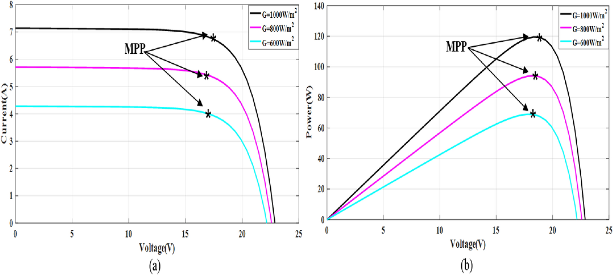
I–V and P–V graphs of double-diode model under different values of irradiation and constant temperature, T = 25 °C (a) I–V graph and (b) P–V graph.

I–V and P–V graphs of double-diode model under different values of irradiation and constant temperature, T = 25 °C (a) I–V graph and (b) P–V graph.