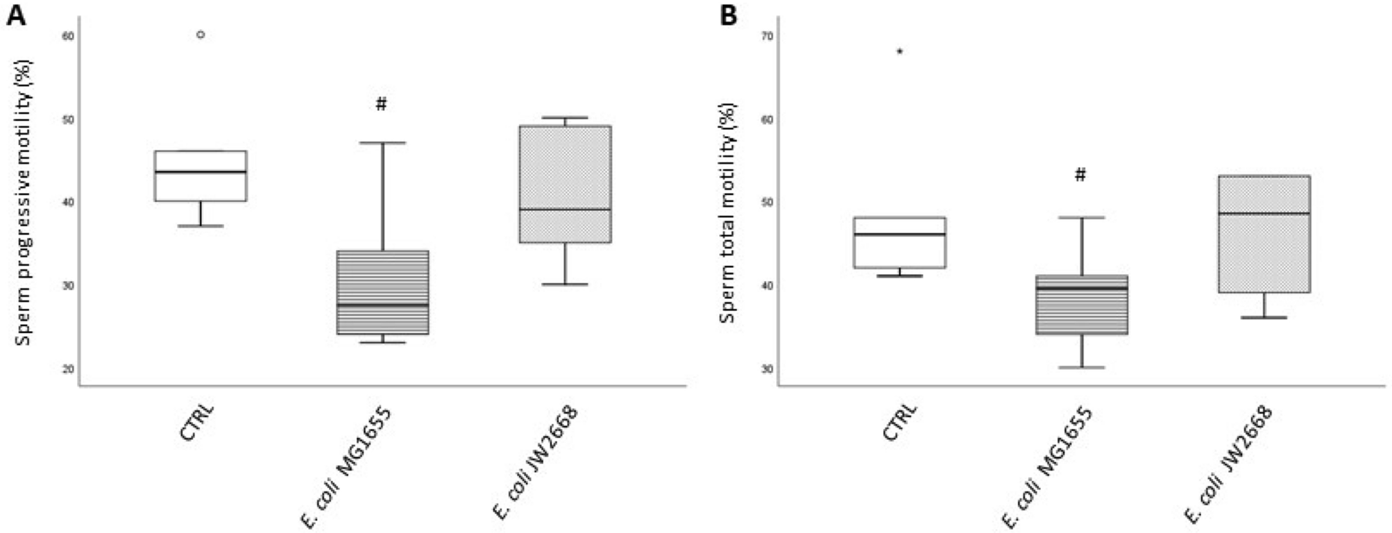
Figure 2

Box-plots representing the effect of 3 h in vitro incubation (37 °C, 5%CO2) of whole semen samples (n = 6) with E. coli MG1655 (wild-type strain) and E. coli JW2668 (knockout for SIF) on sperm progressive (A) and total (B) motility. Wilcoxon test, *p < 0.05; #p < 0.01 versus CTRL.