Figure 6

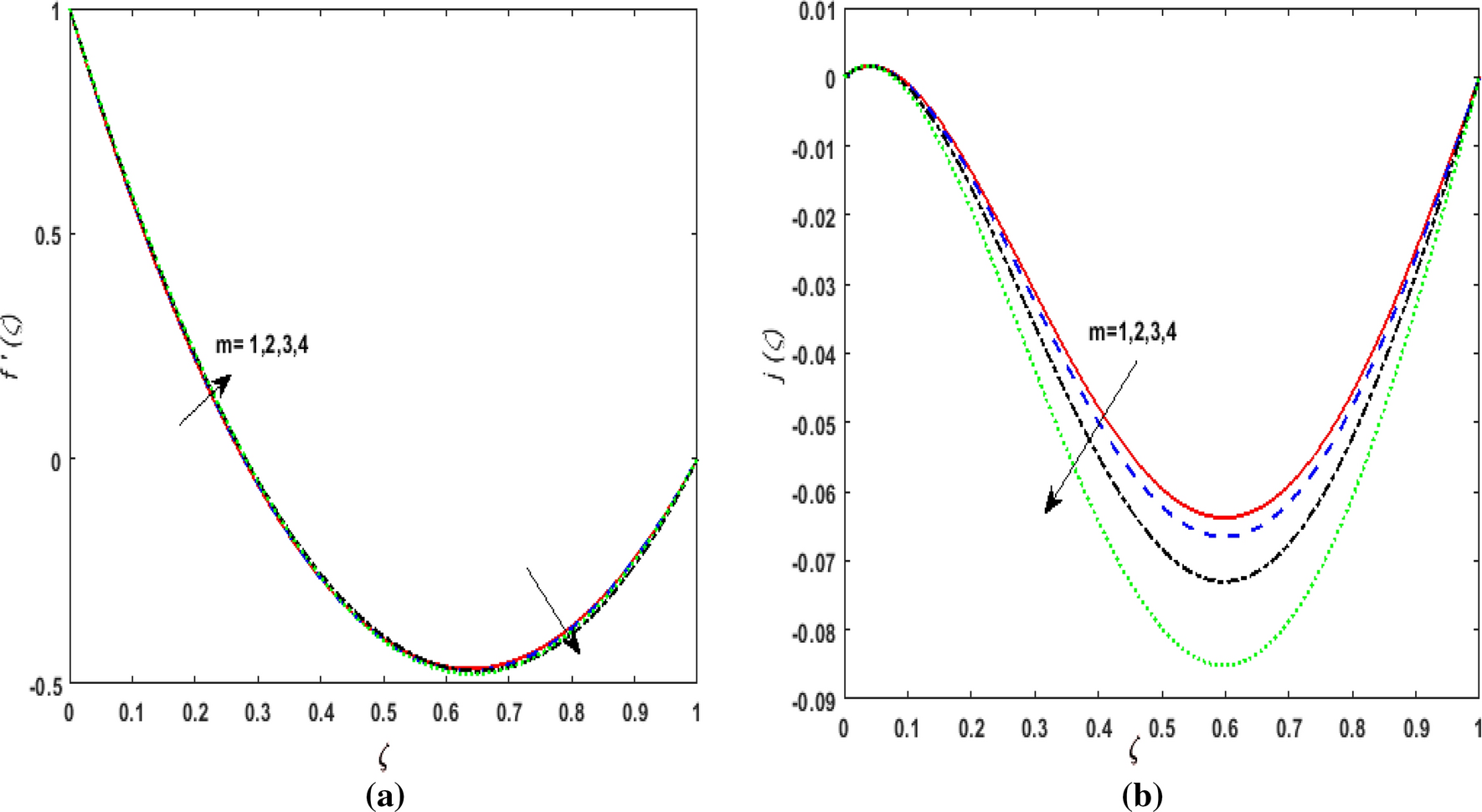
(a) Effect of hall parameter \(m\) on velocity \(f^{\prime}\left( \zeta \right)\). (b) Effect of hall parameter \(m\) on velocity \(j\left( \zeta \right)\).

(a) Effect of hall parameter \(m\) on velocity \(f^{\prime}\left( \zeta \right)\). (b) Effect of hall parameter \(m\) on velocity \(j\left( \zeta \right)\).