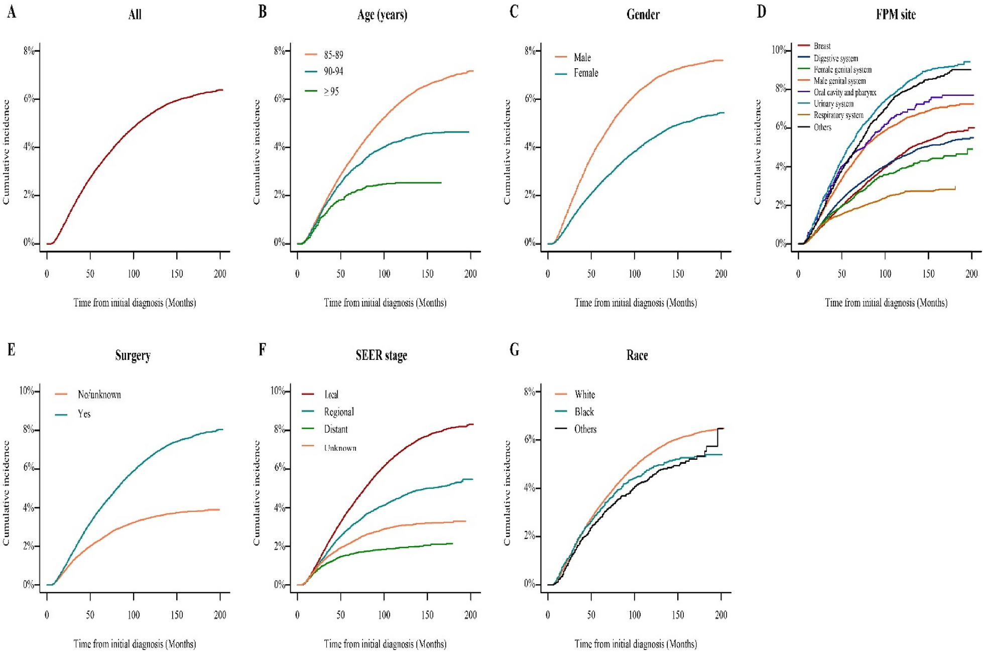
Figure 1
From: Second primary malignancy among malignant solid tumor survivors aged 85 years and older

Cumulative incidence of (A) all and stratified by (B) age, (C) gender, (D) FPM site, (E) surgery history, (F) SEER stage, and (G) race. FPM, first primary malignancy; SEER surveillance, epidemiology, and end results.