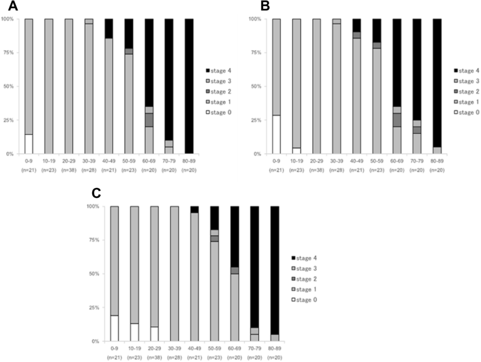
Figure 1

Proportion of subjects in each stage of posterior vitreous detachment by decade of life. Percentages for each stage of PVD ((A) eyes with more advanced PVD stage, (B) right eyes, (C) left eyes) are displayed by age group.

Proportion of subjects in each stage of posterior vitreous detachment by decade of life. Percentages for each stage of PVD ((A) eyes with more advanced PVD stage, (B) right eyes, (C) left eyes) are displayed by age group.