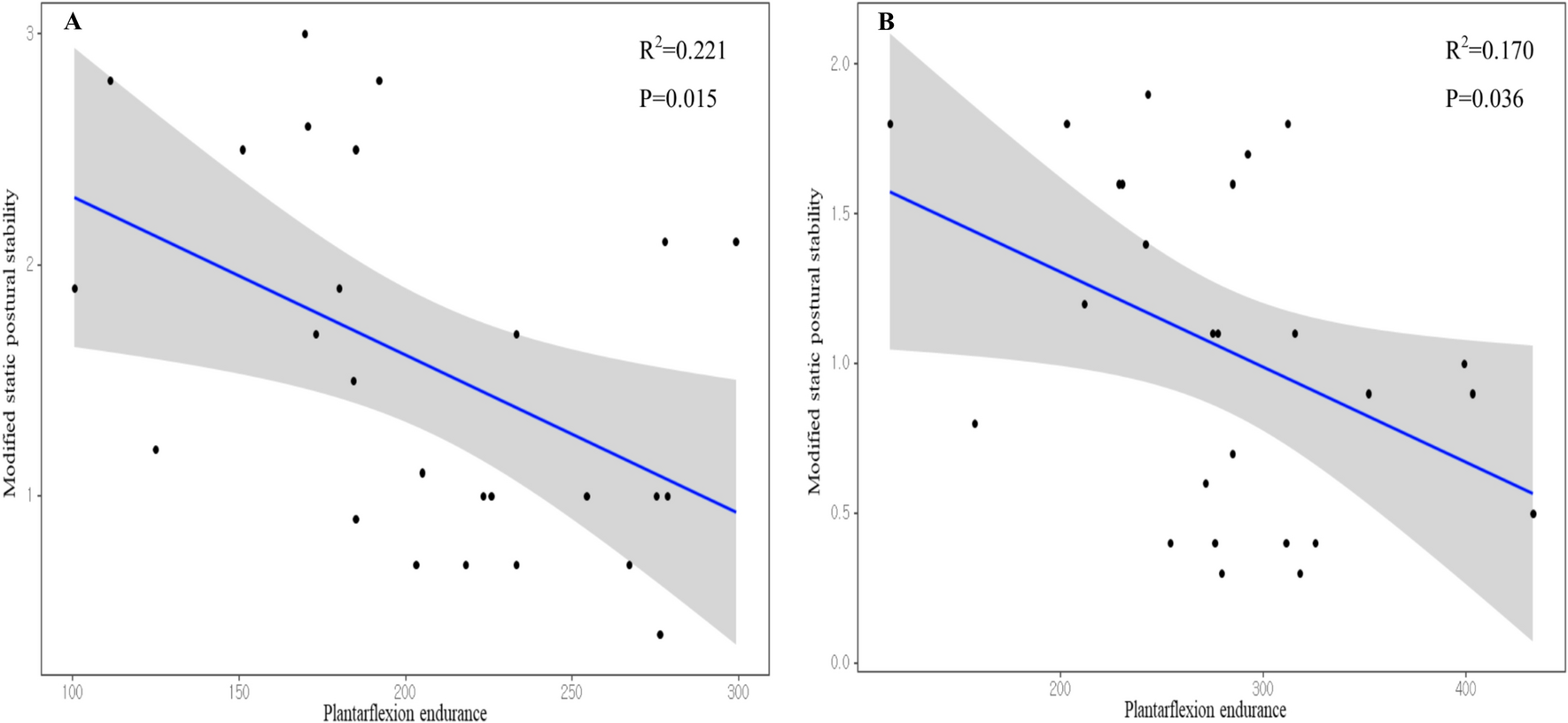
Figure 2

Plots show correlations between the modified static postural stability and plantarflexion endurance in CAI group (a) and healthy control group (b).

Plots show correlations between the modified static postural stability and plantarflexion endurance in CAI group (a) and healthy control group (b).