Figure 6

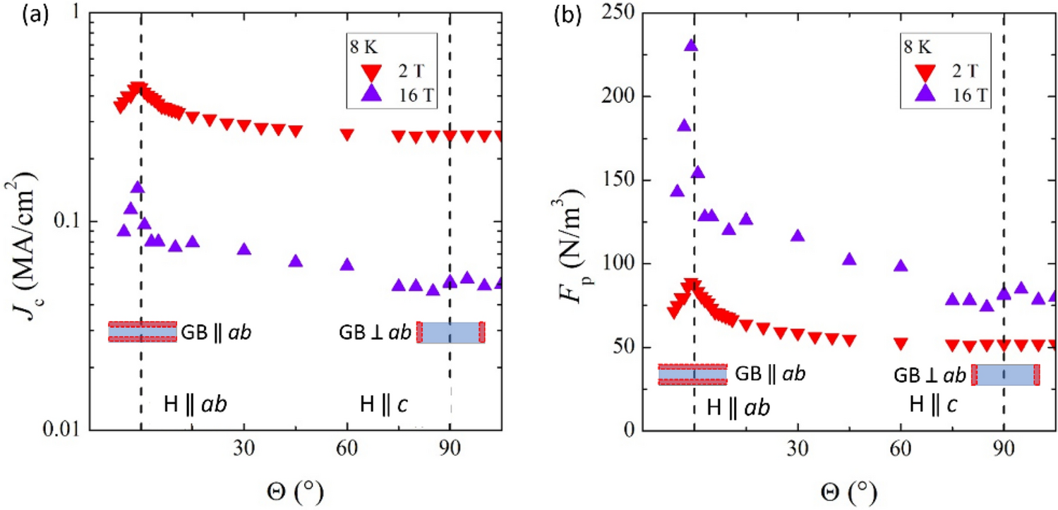
Angular dependence of the critical current density Jc(θ) in semi-log scale (a) and pinning force (b), measured at 8 K and in fields of 2 and 16 T.

Angular dependence of the critical current density Jc(θ) in semi-log scale (a) and pinning force (b), measured at 8 K and in fields of 2 and 16 T.