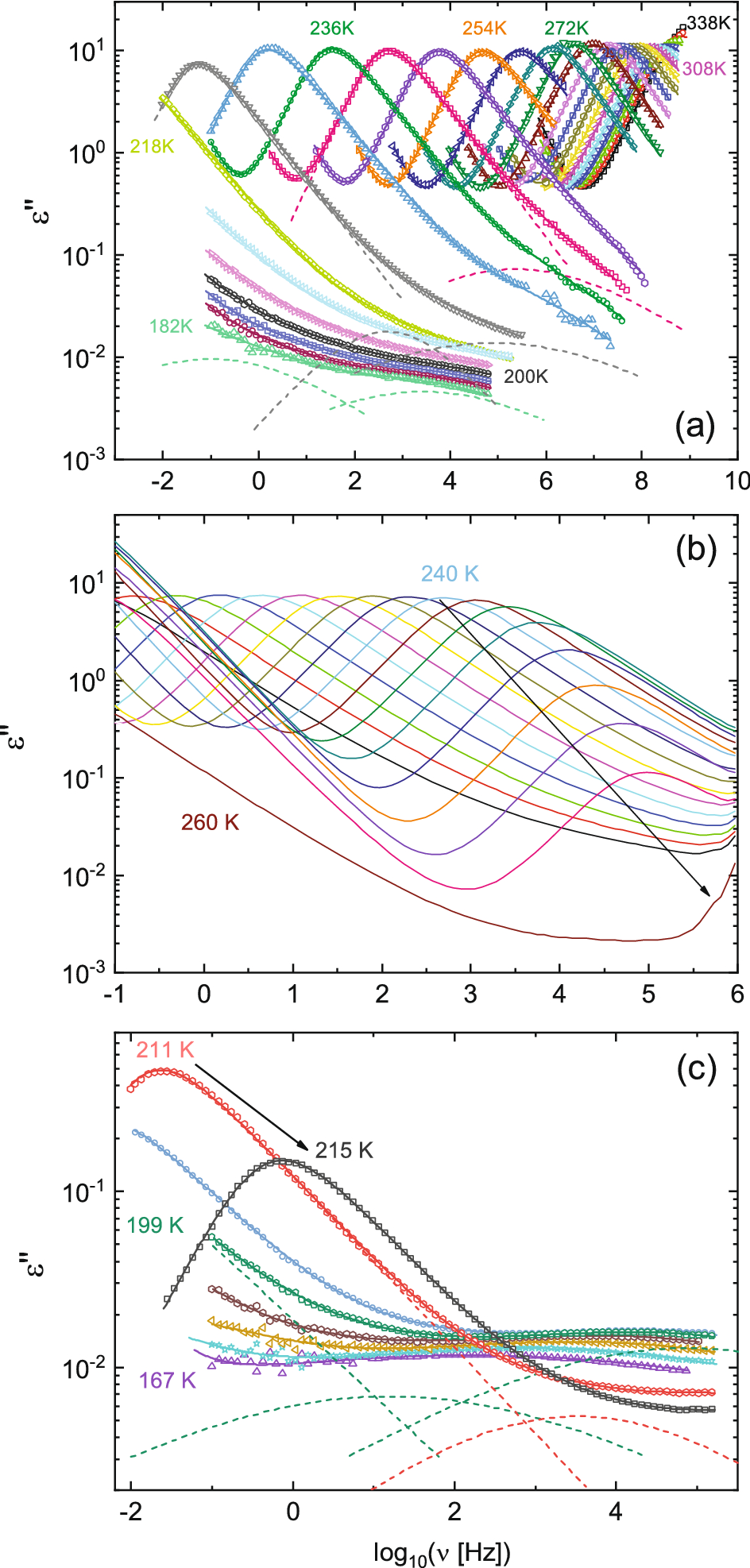
Figure 2
From: Inter-enantiomer conversion dynamics and Johari–Goldstein relaxation of benzophenones

Ambient-pressure isothermal dielectric loss spectra of both studied compounds. (a, b) Spectra of BrBPh at selected temperatures between 182 and 338 K, acquired both upon lowering the temperature (a) and upon increasing it (b). (c) Spectra of BPh acquired while increasing the temperature from well within the glass state. In (a) and (c), data are represented as markers, continuous lines are fits, and dotted lines are fit components, which are shown only for few representative spectra, namely at 182, 224 and 242 K for BrBPh (a) and 199 and 211 K for BPh (c). In both (b) and (c), recrystallization is visible as a marked decrease of the intensity of the main loss (α relaxation) feature above a certain temperature (T > 240 K for BrBPh (b), T > 211 K for BPh (c)).