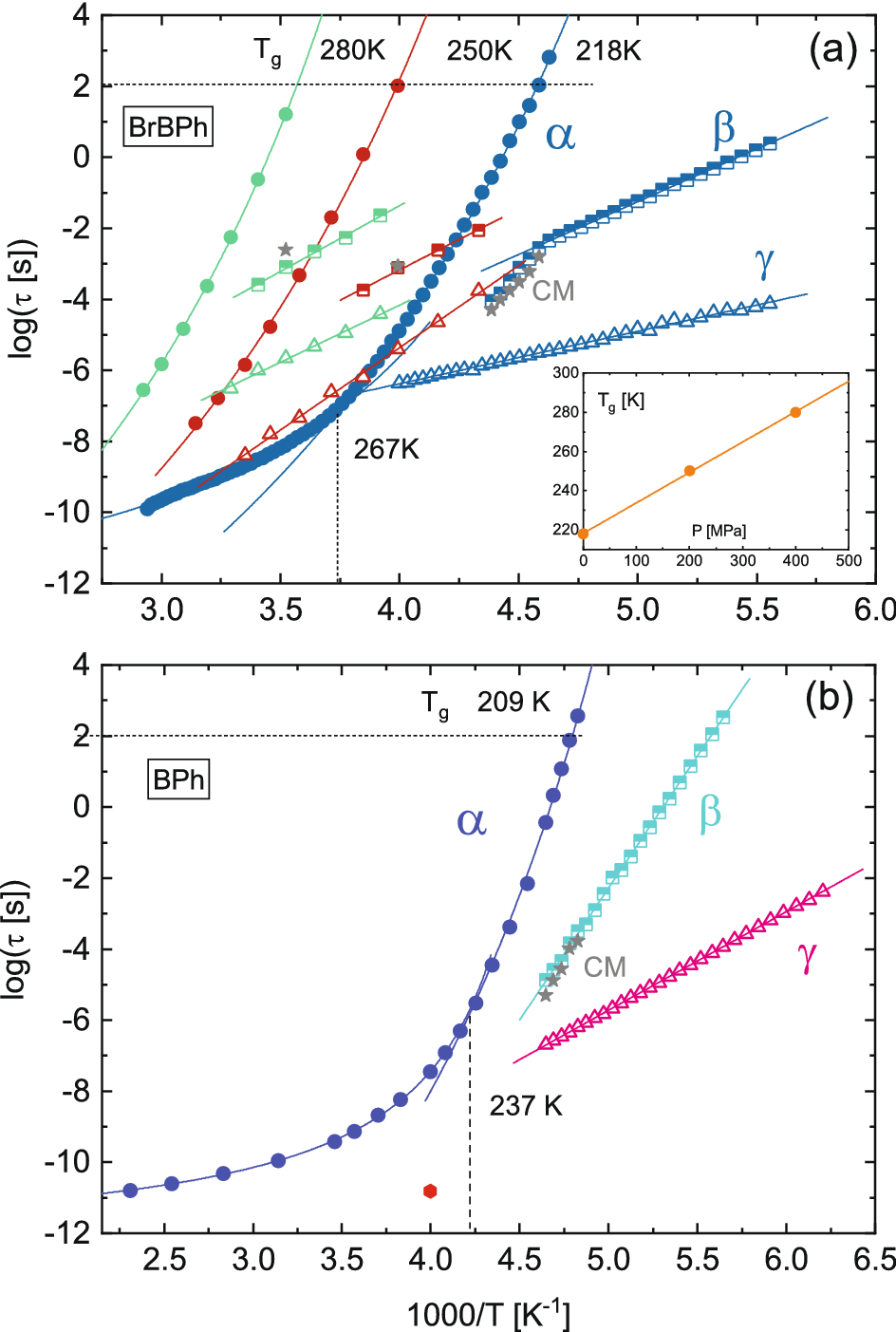
Figure 4
From: Inter-enantiomer conversion dynamics and Johari–Goldstein relaxation of benzophenones

Arrhenius plot of the structural (α, filled circles) and secondary β (half-open squares) and γ (open triangles) relaxation times in BrBPh (a) and BPh (b). In (a), the data for all three studied pressures are reported (blue: 0.1 MPa; red, 201 MPa; green: 400 MPa). In (b), α relaxation times above Tg were obtained by our own fits of the loss spectra of Ref.27, and the red dot represents the relaxation time of the fast-β relaxation inferred from analysis of the optical Kerr effect on BPh (Ref.35). In both panels, continuous lines are VFT fits (Eq. 3) of the α relaxations or linear (Arrhenius law) fits of the secondary (β, γ) relaxation times. The dashed horizontal line marks the glass transition temperature Tg, while the dashed vertical line marks the dynamic cross-over temperature at which the VFT temperature dependence of the α relaxation changes in the ambient pressure data. Stars represents the precursor times predicted by the Coupling Model (Eq. 5). Inset to (a): variation of Tg with the applied pressure (markers). The line is a linear fit.