Figure 5
From: Inter-enantiomer conversion dynamics and Johari–Goldstein relaxation of benzophenones

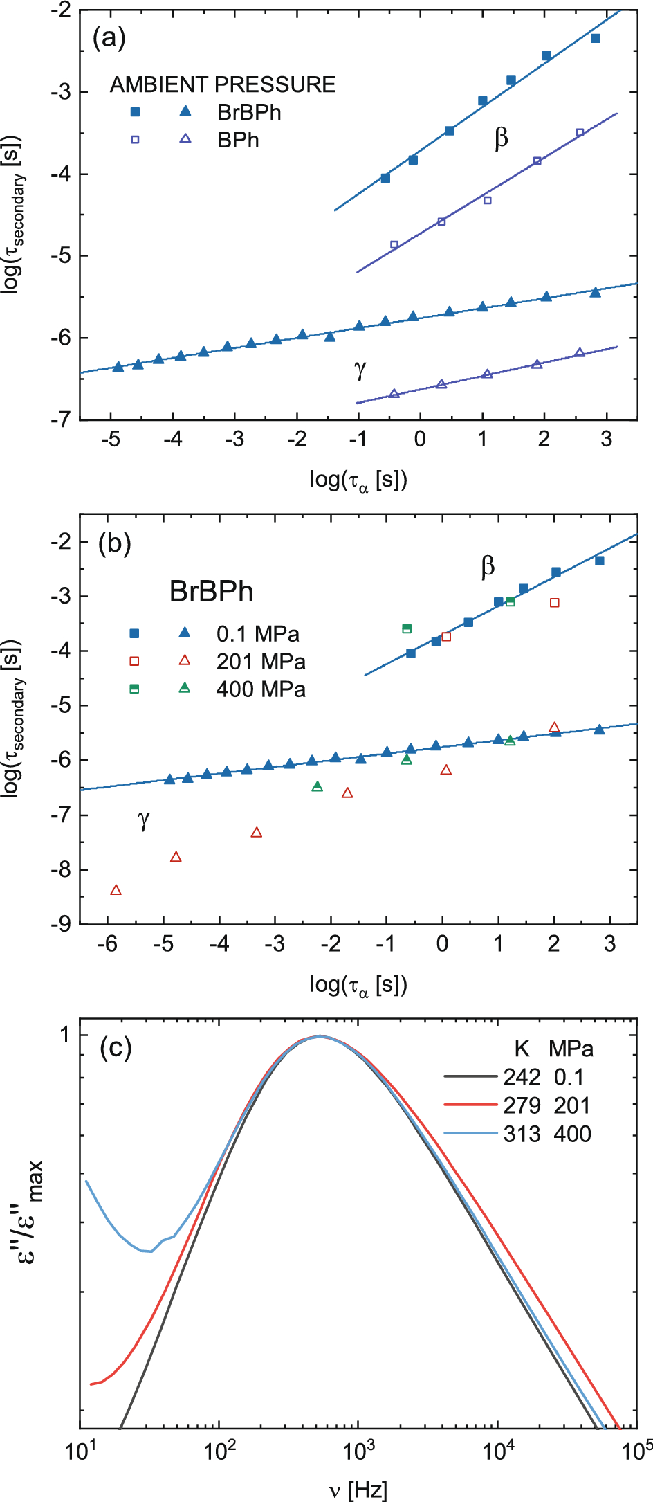
(a) Logarithmic plot of τβ and τγ as a function of τα (above Tg) for the ambient pressure data of BrBPh (filled markers) and BPh (open markers), and linear fits. (b) Same plot for BrBPh for all three measured pressures. Continuous lines are linear fits of the ambient pressure data. (c) Normalized isochronal plot of the loss spectra of BrBPh at three (T, P) pairs for which the structural relaxation frequency is roughly the same (namely, τα ≅ 3 · 10–4 s).