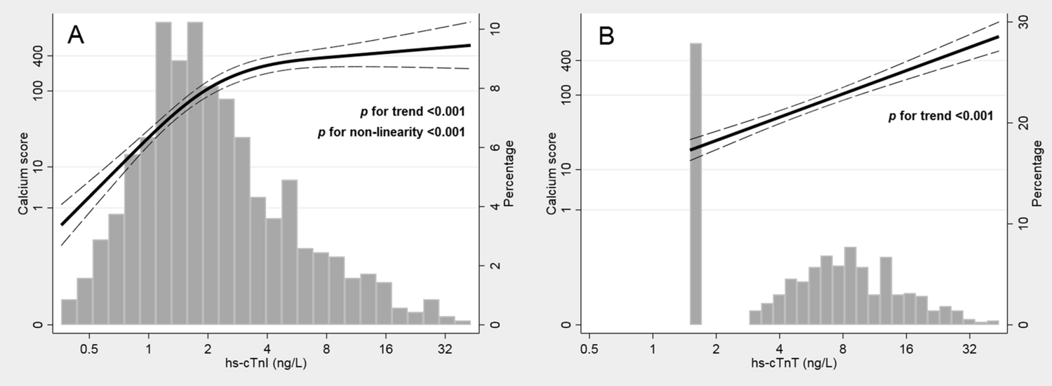
Figure 2

Restricted cubic splines models showing the association between log2-transformed calcium score and log2-transformed cardiac troponin I (Panel A) and T (Panel B) concentrations in the total population with available calcium score (n = 646). The splines are superimposed on histograms of cardiac troponin I and T distributions. The logarithmic x and y-axis have been exponentiated. The hs-cTnI-model is fitted to three knots and the hs-cTnT-model to two knots, based on the best fit according to the lowest Akaike Information Criterion. The dotted lines reflect the 95% confidence interval. hs-cTnI – high-sensitivity cardiac troponin I, hs-cTnT – high-sensitivity cardiac troponin T.