Figure 12
From: Study on selection of native greening plants based on eye-tracking technology

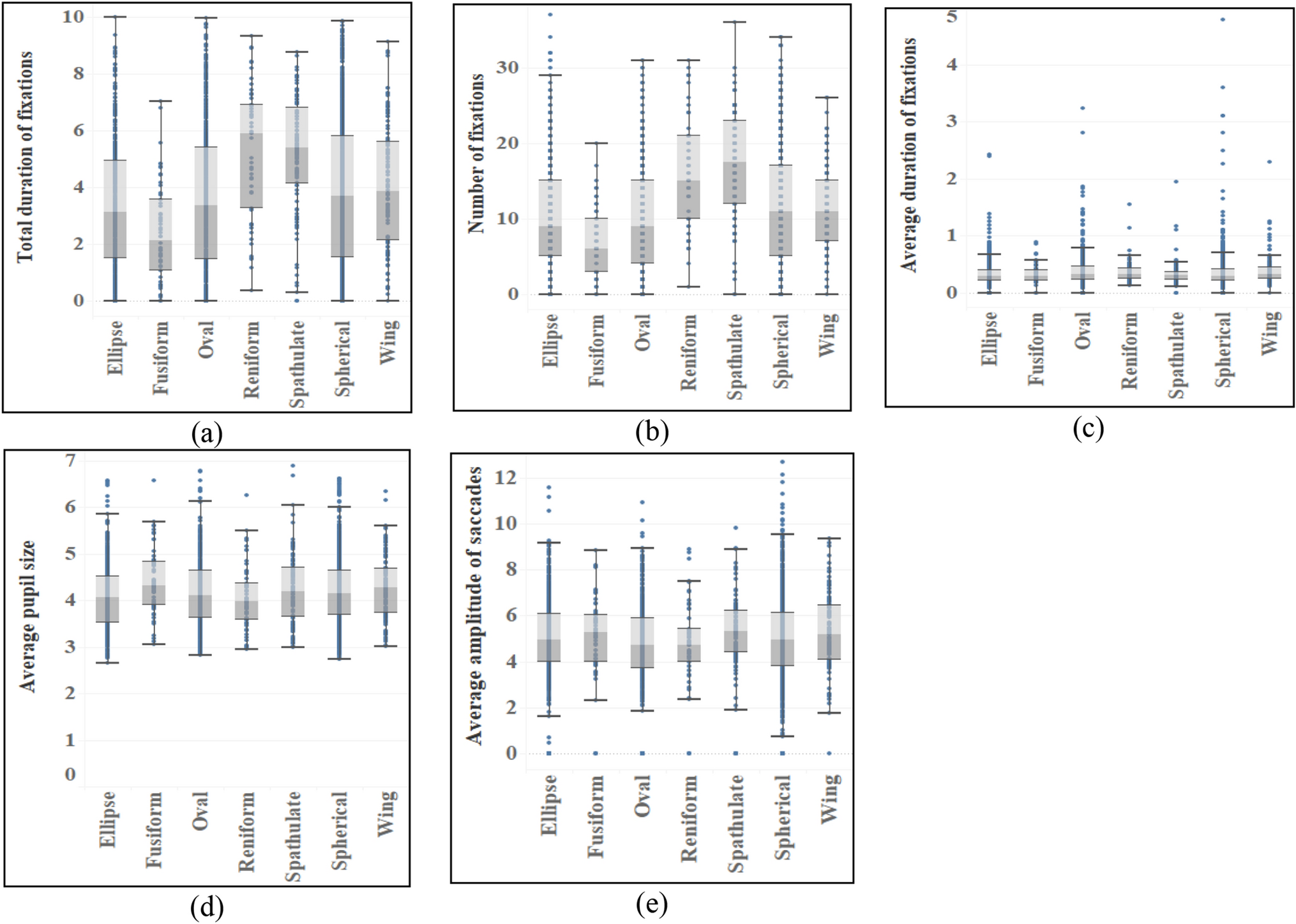
Eye movement indexes of different fruit shapes.
From: Study on selection of native greening plants based on eye-tracking technology

Eye movement indexes of different fruit shapes.