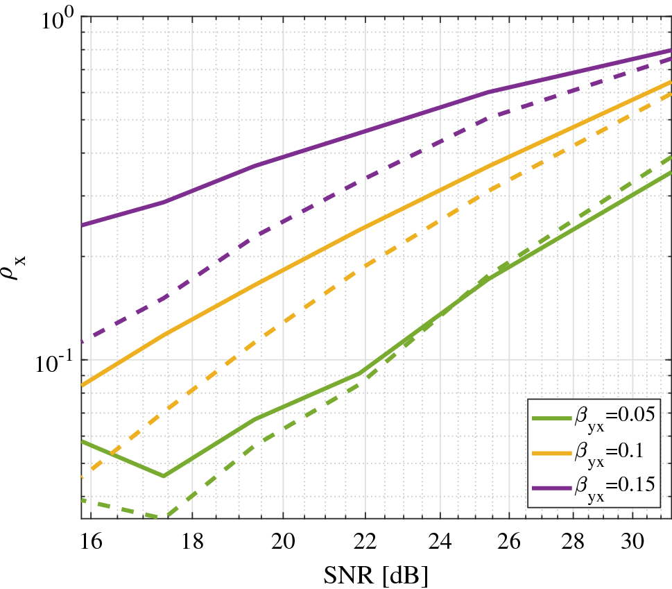
Figure 8
From: Inferring causal relations from observational long-term carbon and water fluxes records

Cross-map skill \(\rho _x\) as a function of noise in the effect variable \(\sigma _y\) and level of coupling \(\beta _{yx}\) in the coupled logistic map problem. The proposed combination of CCM and IGCI (solid lines) outperform the standard CCM (dashed lines), especially noticeable in high levels of noise and coupling.