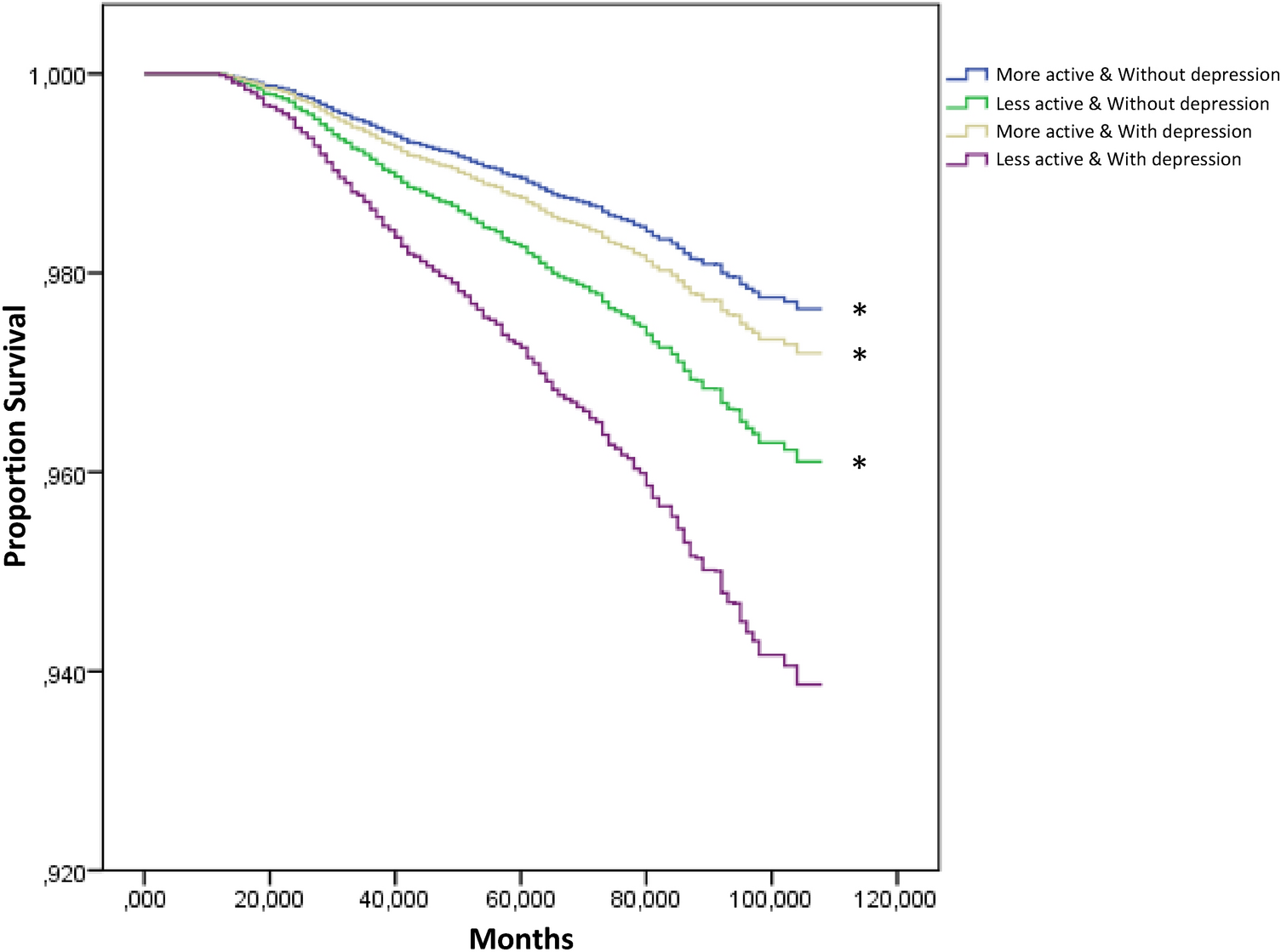
Figure 2

Survival curves for all-cause mortality according to physical activity group and depression status. Data are representative of non-institutionalized American population. Less active: Performed < 600 MET-min/week; More active: Performed ≥ 600 MET-min/week; With depression: Scored ≥ 10 in the PHQ-9; Without depression: Scored < 10 in the PHQ-9. Curves are adjusted by age, sex, race/ethnicity, annual household income, educational level, alcohol consumption, smoking status, BMI, arterial hypertension, dyslipidemia, and diabetes. *Significant difference with Less active & with depression group.