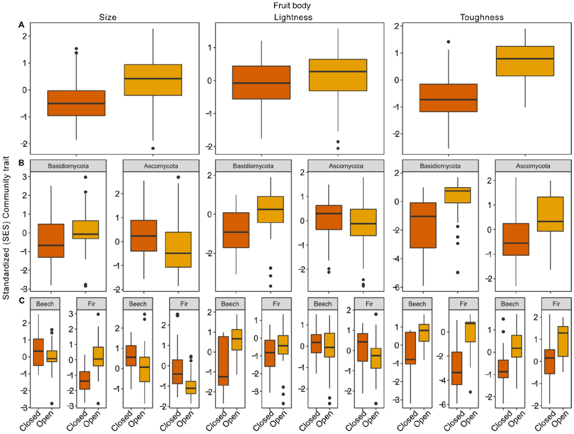
Figure 4
From: Fungal fruit body assemblages are tougher in harsh microclimates

Response of the standardized effect size of the community fruit body traits with canopy openness. Dark orange refers to closed canopies, light orange to open canopies. Standardized effect sizes (SES) were computed based on the independent swap null model. (A) Effects of canopy openness on the overall community trait. (B) Effects of canopy openness on the community trait separated for Basidio- and Ascomycota. (C) Effects of canopy openness on the community trait separated for lineages and tree species. For a statistics table based on a multivariate linear mixed-effects model, see Table 1. R programming environment version 4.1.240 and R add-on package ggplot241.