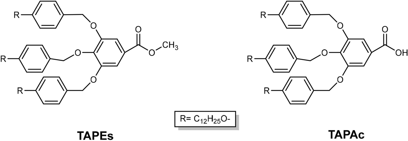
Figure 1

Chemical structure of: methyl 3,4,5-tris[p-(n-dodecan-1-yloxy) benzyloxy] benzoate (TAPEs) and 3,4,5-tris[p-(n-dodecan-1-yloxy) benzyloxy] benzoic acid (TAPAc).

Chemical structure of: methyl 3,4,5-tris[p-(n-dodecan-1-yloxy) benzyloxy] benzoate (TAPEs) and 3,4,5-tris[p-(n-dodecan-1-yloxy) benzyloxy] benzoic acid (TAPAc).