Figure 9

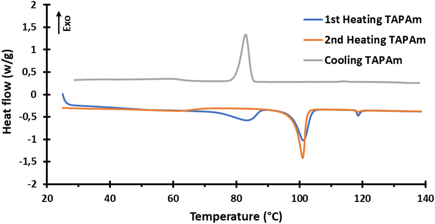
Calorimetric analysis of TAPAm; (blue) first heating, (orange) second heating, and (grey) cooling. Scan rate: 10 °C/min.

Calorimetric analysis of TAPAm; (blue) first heating, (orange) second heating, and (grey) cooling. Scan rate: 10 °C/min.