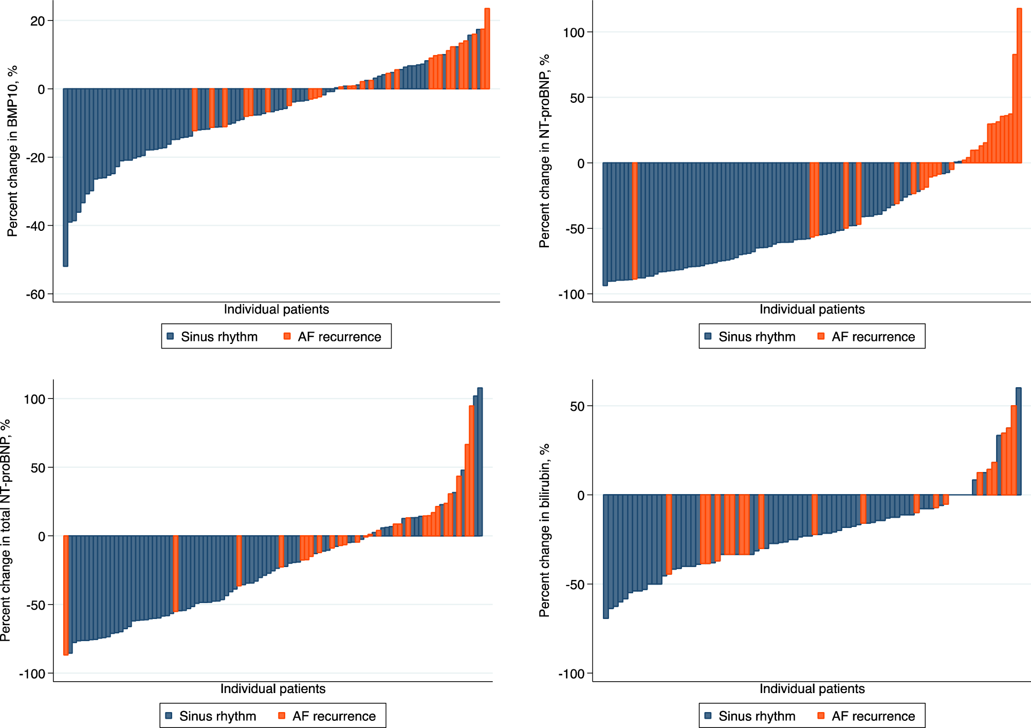
Figure 2
From: Biomarkers associated with rhythm status after cardioversion in patients with atrial fibrillation

Waterfall plots of percent changes in biomarker levels by rhythm status after cardioversion. X-axis represents individual patients, y-axis percentage change; bars are percent change of biomarker at follow-up for each patient.