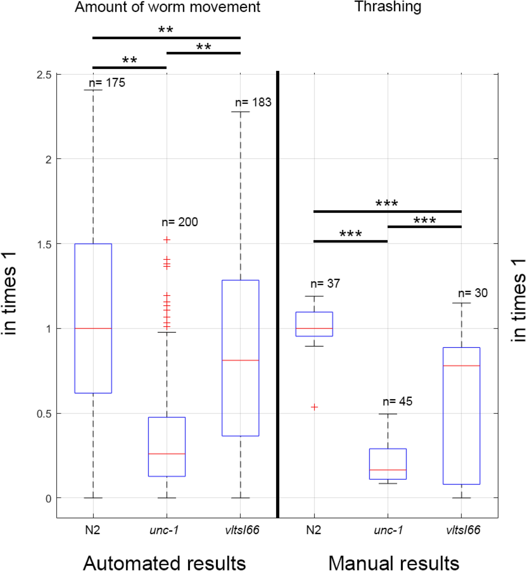
Figure 7

The module index for automated inspection and the thrashing index for manual inspection are shown, which are both transformed into percentages to facilitate visual comparison. On the left is the module sum index. On right, is the graphical output of the manual analysis of the movement capacity. Strains for both experiments are wild type and mutant worms. Wild type (N2 Bristol), unc-1 mutants and transgenic worms expressing CAG expansions in GABAergic neurons show very different motor capacity in liquid. **Means \(p{\text{-value}} < 0.05\), with Wilcoxon rank sum test. ***Means \(p{\text{-value}} < 0.001\), in ANOVA test with Tukey’s post-hoc test. The image was drawn with MATLAB R2020b by using the ’boxplot’ function.