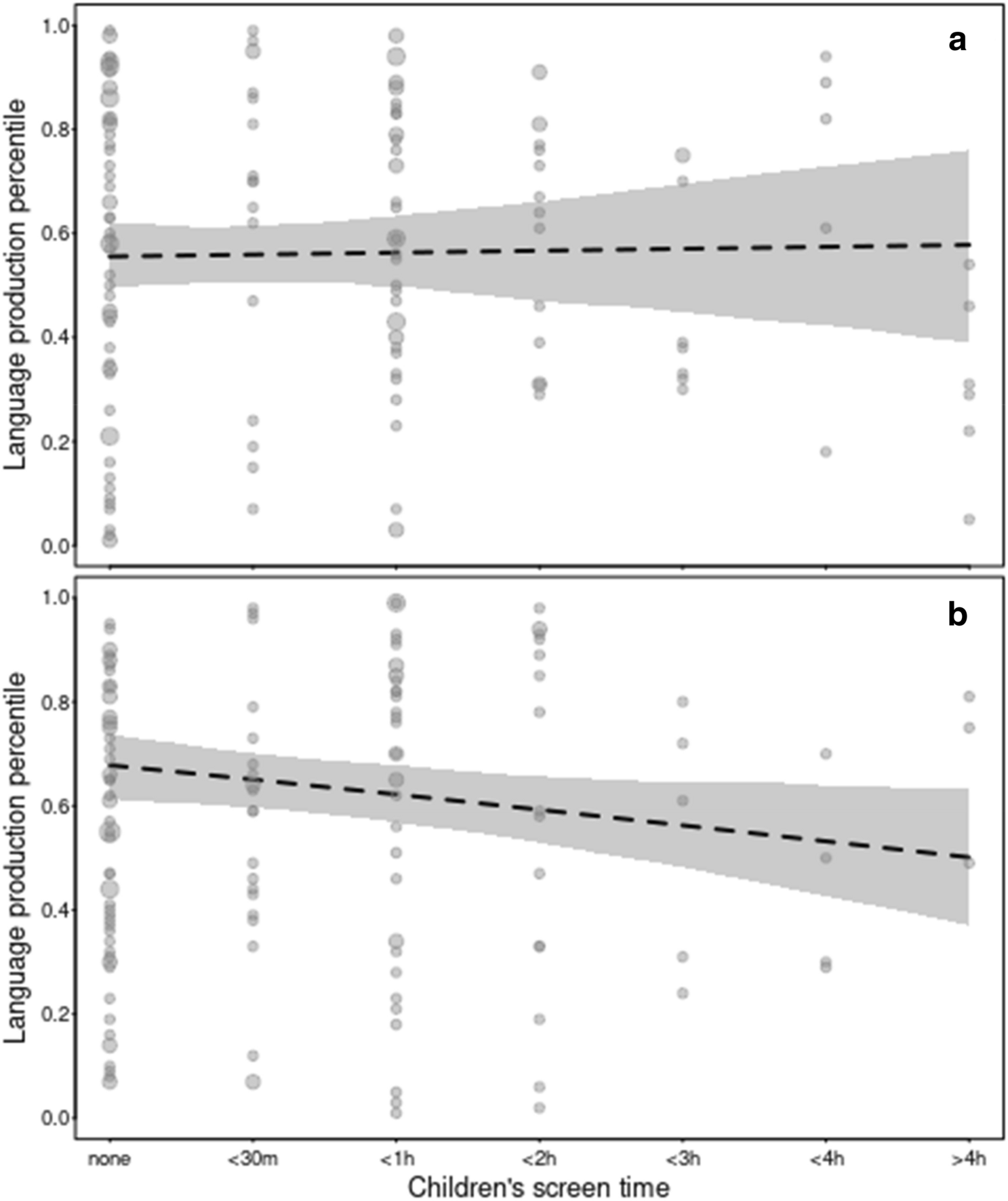
Figure 5
From: Young children’s screen time during the first COVID-19 lockdown in 12 countries

Expressive vocabulary size and children’s screen time before lockdown (T1, top) and during lockdown (T2, bottom). The dashed lines and the shaded area indicate the model estimates and its 95% confidence intervals (with all other terms in the model centered to a mean of zero). The area of the dots is proportionate to the number of the respective observations (range 1–4).