Figure 2
From: Accessing the degree of Majorana nonlocality in a quantum dot-optical microcavity system

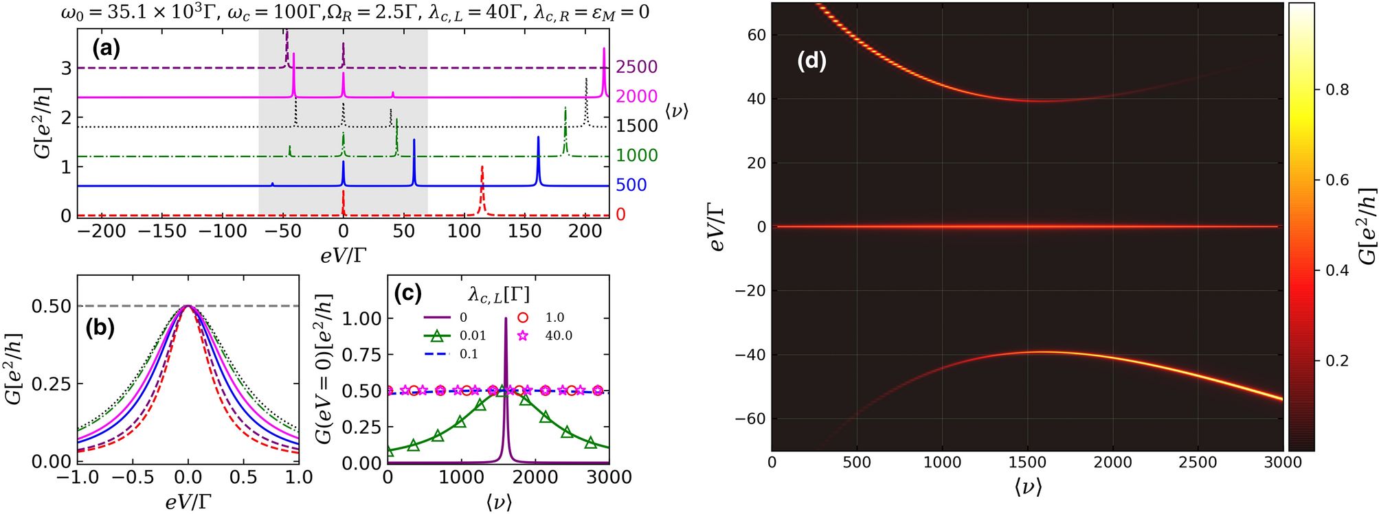
(a) Conductance through the QD [Eq. (6)] as a function of bias-voltage eV describing the case of highly nonlocal MZMs (\(\varepsilon _{M}=\lambda _{c,R}=0\), \(\eta = 0\)) for increasing number of the excitations in the system \(\langle \nu \rangle \), which can be tuned by external pump (the curves are offset along the y axis for the better viewing). One clearly sees the appearance of additional peaks due to the Rabi splitting. (b) Zoom of the conductance around \(eV=0\). (c) Conductance through the QD at zero-bias \(eV = 0\) for increasing \(\langle \nu \rangle \). (d) Colormap showing the conductance behavior as a function of both the eV and \(\langle \nu \rangle \), for a range of eV corresponding to gray region of (a).