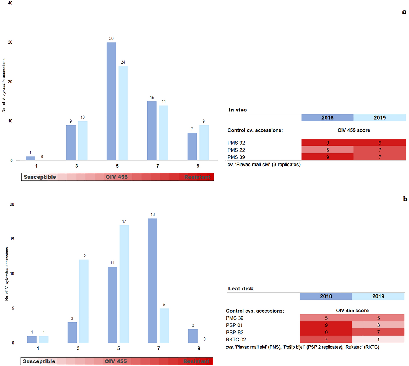
Figure 2

Resistance of V. sylvestris seedlings to grapevine powdery mildew (E. necator) based on OIV 455 descriptor five-class scale (1–9) and two phenotypic approaches: (a) In vivo evaluation in 2018 encompassed 62 accessions and 57 accessions in 2019. V. vinifera cv. ‘Plavac mali sivi’ (PMS) was used as control. (b) Leaf disk assay on a subset of 35 V. sylvestris accessions in 2018 and 2019. Three V. vinifera cvs. were used as controls. Each chart column in (a,b) shows the number of different accessions sharing the same OIV score (level of resistance) in the year of evaluation. Unless otherwise indicated, all accessions were represented by a single biological replicate.