Figure 2
From: Effect of silver nanoparticles on gene transcription of land snail Helix aspersa

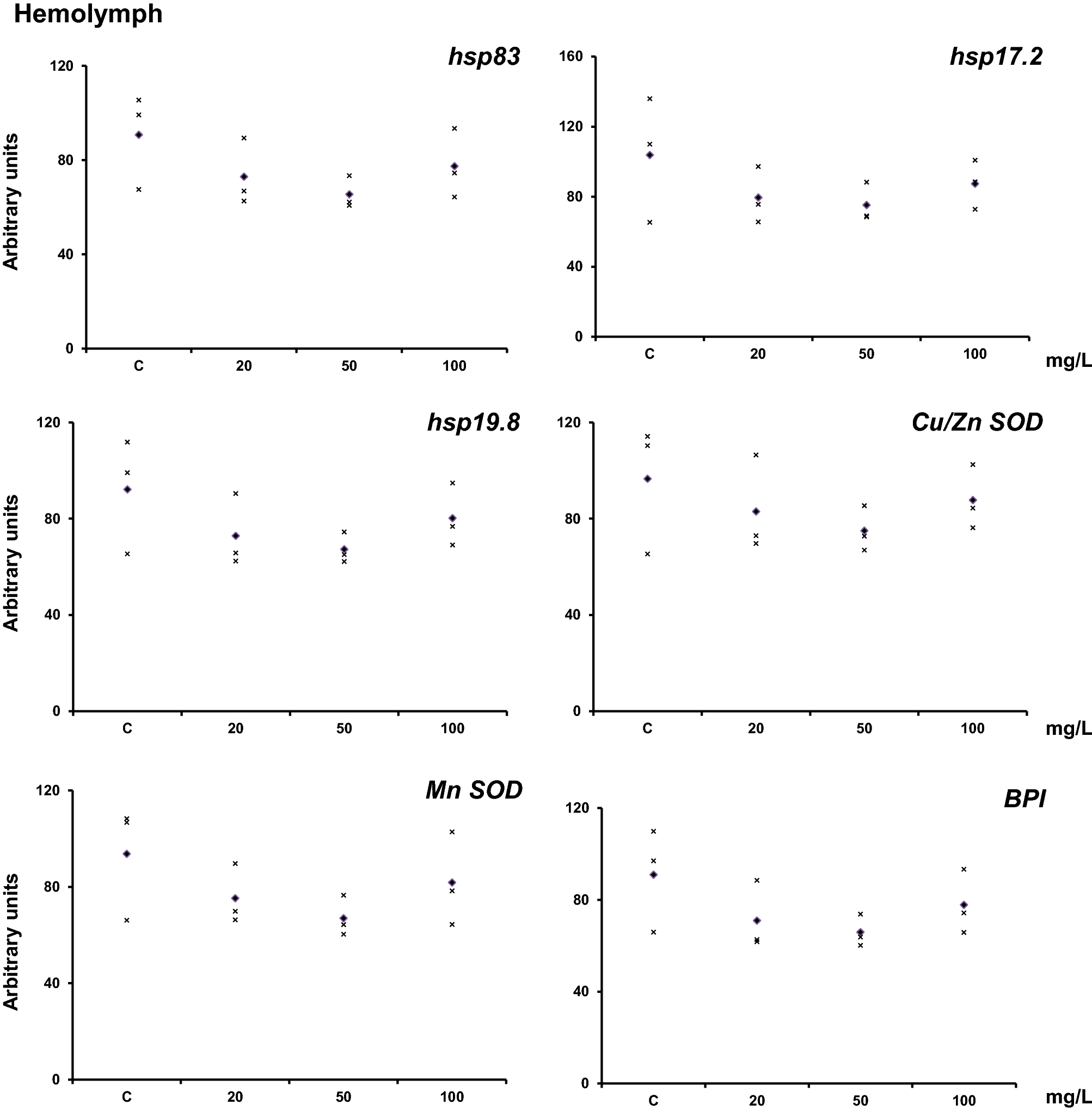
Transcriptional activity of hsp83, hsp17.2, hsp19.8, Cu–Zn SOD, Mn-SOD, and BPI in adult H. aspersa hemolymph samples after in vivo exposure to Ag-NPs at (20 ± 2 °C) for 7 days. Animals were fed with lettuce soaked for one hour with the concentrations of silver nanoparticles indicated on the x-axis. Levels of mRNA were normalized using GAPDH as the reference gene. Three experiments were carried out, and the data are shown for each experiment (x). The diamond indicates the mean. The figure was drawn with Excel (Microsoft, USA).