Figure 3
From: Demarcating the boundary conditions of memory reconsolidation: An unsuccessful replication

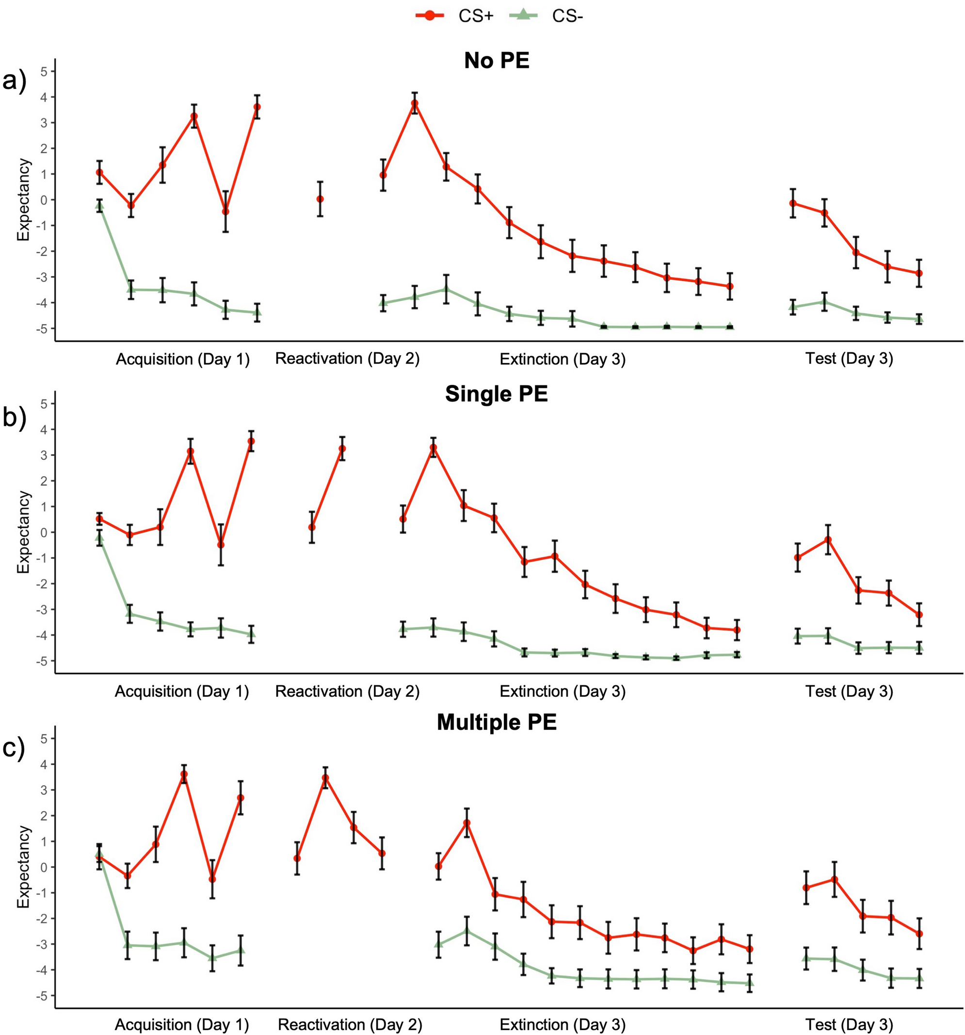
Mean US expectancy ratings to the CS+, CS−, and noise alone per trial in (a) the no PE group (n = 30), (b) the single PE group (n = 31), and (c) the multiple PE group (n = 30). Error bars represent one standard error of the mean.